フレーム内の300+写真

Factorize 3x2 X 4

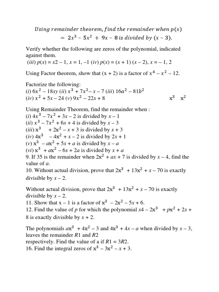
Ex 2 4 4 Factorise I 12x2 7x 1 Ii 2x2 7x 3

Math Scene Equations Iii Lesson 2 Quadratic Equations

Factorise 3x 2 X 4 Math Polynomials Meritnation Com

Special Polynomials

Exercise 3 4 Partly Factored Polynomial Problem Questions With Answer Solution

Find The Zeroes Of The Quadratic Polynomial 3x2 X 4 And Verify The Relationship Between The Zeroes And Brainly In

Undecided yet this looks like the respond to me a million(3x2x4) whilst factoring you upload parenthesis when you consider that all of the consecutive numbers above 2,3, and four all have a million in common i placed the a million on the outdoors so once you multiply it you will get a similar answer as 3x2x4 cuz any quantity or variable cases a million continuously equals the.

Factorize 3x2 x 4. Answer (3x − 4)(x 1) Stepbystep explanation Factoring is method to split an expression in simplest form Here the given expression is, By middle term splitting, Hence, fourth option is correct. Solve your math problems using our free math solver with stepbystep solutions Our math solver supports basic math, prealgebra, algebra, trigonometry, calculus and more. Polynomials Class 10 Maths Find zeroes of quadratic polynomial 3x^2 x 4 and verify the relationship between the zeroes and the coefficients ncert cbse s.

Factor by grouping (sometimes called the acmethod) 3x2 x4 First, choose a form with appropriate signs Then, fill in the blanks with numbers to be used for grouping Finally, show the factorization. Concept of Divisibility of one polynomial by other without actual divisionNote If anyone would like to take live sessions (individual or in batch) please c. 3x2 4x 3x 4 Step4 Add up the first 2 terms, pulling out like factors x • (3x4) Add up the last 2 terms, pulling out common factors 1 • (3x4) Step5 Add up the four terms of step 4 (x1) • (3x4) Which is the desired factorization.

Consider the form x 2 b x c x 2 b x c Find a pair of integers whose product is c c and whose sum is b b In this case, whose product is − 4 4 and whose sum is − 3 3 − 4, 1 4, 1 Write the factored form using these integers ( x − 4) ( x 1) = 0 ( x 4) ( x 1) = 0 (x−4)(x 1) = 0 ( x 4) ( x 1) = 0. The calculator will perform the long division of polynomials, with steps shown. Answer = 3x2(3x2 x 4) Then, check by using the distributive property!.

3x2x4 Asked by bharathbharathkumar 27th February 644 PM Answered by Expert ICSE X Mathematics Quadratic Equations Asked by Kanwaranita10 3rd Factorize Please explain how to write factors when roots are given Asked by chamudamu 12th April 1102 AM. Factorise 3x^{2} x 4 2 See answers raminder1 raminder1 ,doneee welcome guys jaiswalsam jaiswalsam 3x^2 3x 4x 4 =0 3x(x1) 4(x1) = 0 (x1) (3x 4) =0 hence x = 1 and x = 4 /3 New questions in Math you call me fast my no is 91. Answer = 3x2(3x2 x 4) Then, check by using the distributive property!.

Polynomial Synthetic Division Calculator apply polynomial synthetic division stepbystep. The calculator will perform the long division of polynomials, with steps shown. 7 answers I need Algebra help please?.

Factor completely 3x2 x 7. I looked at videos and still don't understand Picture below?. Solved by pluggable solver Factoring using the AC method (Factor by Grouping) Looking at the expression , we can see that the first coefficient is , the second coefficient is , and the last term is Now multiply the first coefficient by the last term to get Now the question is what two whole numbers multiply to (the previous product) and add to the second coefficient ?.

Expert Answer 3x2 x 4 = 3x2 3x 4x 4 = 3x (x 1) 4 (x 1). 6 answers Answer Questions Answer Questions. Trying to factor by splitting the middle term 21 Factoring 3x 22x4 The first term is, 3x 2 its coefficient is 3 The middle term is, 2x its coefficient is 2 The last term, "the constant", is 4 Step1 Multiply the coefficient of the first term by the constant 3 • 4 = 12.

5 answers Math help ?. Transcript Ex 24, 5 Factorise (i) x3 − 2x2 − x 2 Let p(x) = x3 – 2x2 – x 2 Checking p(x) = 0 So, at x = 1, p(x) = 0 Hence, x – 1 is a factor of p(x. Factor a trinomial (2 3X)(4 1X) = 0 Subproblem 1 Set the factor '(2 3X)' equal to zero and attempt to solve Simplifying 2 3X = 0 Solving 2 3X = 0 Move all terms containing X to the left, all other terms to the right Add '2' to each side of the equation 2 2 3X = 0 2 Combine like terms 2 2 = 0 0 3X = 0 2.

Question 7 of 21 Factor the polynomial 3x2(x 4) 5(x 4) O A 3x2(x – 4) O B (x4)(3x2 5) O C (x4)(3x2 5) O D (x 4)(3x – 5) Answers 2 Get Other questions on the subject Mathematics Mathematics, 1630, josh Find the quotient 50a2 – 98b2 5a 7b. Yes No 9 760 068 solved problems About the Author Welcome to MathPortal This web site owner is mathematician Miloš Petrović I. How would i factor out the "k" in this equation?.

Free Rational Roots Calculator find roots of polynomials using the rational roots theorem stepbystep. 9 answers how do I calculate the different number of combinations?. 3x2x4 Asked by bharathbharathkumar 27th February 644 PM Answered by Expert ICSE X Mathematics Quadratic Equations Asked by Kanwaranita10 3rd Factorize Please explain how to write factors when roots are given Asked by chamudamu 12th April 1102 AM.

That doesn't factor neatly Applying the quadratic equation, we find two imaginary solutions (1 plus or minus the square root of 47) divided by 6x = i = 1st root. See a solution process below Because the x^4 coefficient is 1 we know the coefficient for the x^2 terms in the factor will also be 1 (x^2 )(x^2 ) Because the constant is a negative and the coefficient for the x term is a negative we know the sign for the constants in the factors will have one positive and one negative (x^2 )(x^2 ) Now we need to determine the factors which multiply to. This calculator factor both the numerator and denominator completely then reduce the expression by canceling common factors Able to display the work process and the detailed explanation Click on "advanced expressions" tab to simplify expressions such as $$\frac{x^21}{2x^24x2} ~ ~\frac{x}{(x1)^2} \frac{x1}{x^22x1}$$.

Factoring is pulling out common stuff 1 Factor completely 5x2 x 5x is the biggest common item 5x(x4) A 5(x2 4x) B x(5x ) C 5x(x 4). Factor each of the following using the GCF and check by using the distributive property 1) 2a 2b 2) 5x2 5 3) 18c – 27d 4) hb hc 5) 6x – 18 6) 3a2 – 9 7) 4x2 – 4y2 8) p prt 9) 10x – 15x3 10) 2x – 4x3 11) 8x – 12 12) 8 – 4y. Factorise A Polynomial By Splitting The Middle Term Example Problems With Solutions Type I Factorization of Quadratic polynomials of the form x 2 bx c (i) In order to factorize x 2 bx c we have to find numbers p and q such that p q = b and pq = c (ii) After finding p and q, we split the middle term in the quadratic as px qx and get desired factors by grouping the terms.

Polynomial Synthetic Division Calculator apply polynomial synthetic division stepbystep. Factor 3x^2x4 3x2 − x − 4 3 x 2 x 4 For a polynomial of the form ax2 bx c a x 2 b x c, rewrite the middle term as a sum of two terms whose product is a⋅c = 3⋅−4 = −12 a ⋅ c = 3 ⋅ 4 = 12 and whose sum is b = −1 b = 1 Tap for more steps Factor − 1 1 out of − x x 3 x 2 − ( x) − 4 3 x 2 ( x) 4. Factor completely 3x^2 5x 1 (3x 1)(x 1) (3x 5)(x 1) (3x − 5)(x 1) Prime Since you can't determine two numbers w/product of 3 and sum of 5, the polynomial is therefore unfactorable.

Trying to factor by splitting the middle term 11 Factoring x 23x4 The first term is, x 2 its coefficient is 1 The middle term is, 3x its coefficient is 3 The last term, "the constant", is 4 Step1 Multiply the coefficient of the first term by the constant 1 • 4 = 4. Simple and best practice solution for f(x)=5x^23x2 equation Check how easy it is, and learn it for the future Our solution is simple, and easy to understand, so don`t hesitate to use it as a solution of your homework. Free factor calculator Factor quadratic equations stepbystep This website uses cookies to ensure you get the best experience By using this website, you agree to our Cookie Policy.

Since both terms are perfect squares, factor using the difference of squares formula, where and Remove unnecessary parentheses If any individual factor on the left side of the equation is equal to , the entire expression will be equal to. To solve the equation, factor the left hand side by grouping First, left hand side needs to be rewritten as 3x^{2}axbx2 To find a and b, set up a system to be solved 1,6 2,3 Since ab is negative, a and b have the opposite signs Since ab is negative, the negative number has greater absolute value than the positive. 3x2x4 (the 2 is meant to be squared)?.

Factor each of the following using the GCF and check by using the distributive property 1) 2a 2b 2) 5x2 5 3) 18c – 27d 4) hb hc 5) 6x – 18 6) 3a2 – 9 7) 4x2 – 4y2 8) p prt 9) 10x – 15x3 10) 2x – 4x3 11) 8x – 12 12) 8 – 4y. Then you write 3x^23x4x4, then factorise it factorise out 3x from the first, it is 3x(x1) and 4 from the second, so its 4(x1) and you put the values outside the brackets into a bracket and use the other one as a single bracket,. Answer to (1 point) Solve 3x2 x 4 = 0 by factoring If there is more than one correct answer, enter a comma separated list he.

Factoring polynomials Polynomial roots Simplify rational expressions Expressions evaluator Was this calculator helpful?. Factorise (i) 12x2 7r I (ii) 2x2 7x 3 (iii) 6x2 5x 6 (iv) 3x2 x 4 Answer (i) 12x2 7x 1 = 12x2 4x 3x 1 (ii) 2x2 3 = 2X2 6X X 3 (iii) 6x2 5x 6 = 6x2 9x 4x 6 (iv) 3x2 x 4 = 3x2 — 4 x 3 x — 4 Factorise (i) x3 2x2 x 2 (ii) x3 3x2 9x 5 (iii) x3 13x2 32x (iv) 2y3 Y2 2y 1. Then it will attempt to solve the equation by using one or more of the following addition, subtraction, division, taking the square root of each side, factoring, and completing the square This calculator can be used to factor polynomials Variables Any lowercase letter may be used as a variable Exponents.

Undecided yet this looks like the respond to me a million(3x2x4) whilst factoring you upload parenthesis when you consider that all of the consecutive numbers above 2,3, and four all have a million in common i placed the a million on the outdoors so once you multiply it you will get a similar answer as 3x2x4 cuz any quantity or variable cases a million continuously equals the.

How To Factorise X 4 3x 2 Quora

Remainder Theorem And Factor Theorem

Example 9 Find All Zeroes Of 2x4 3x3 3x2 6x 2 Examples

Factor Factor A Polynomial And Trinomial With Step By Step Math Problem Solver

Factorization Of Polynomials Using Factor Theorem A Plus Topper

Using Factor Theorem Factorise The Polynomial X3 X2 4x 4 Studyrankersonline

Find That 3x 2 X 4 Maths Questions

Determine Which Of The Following Polynomials Has X 1 As Scholr

3 Ways To Factor Trinomials Wikihow

Factorise X4 3x2 28 Brainly In

Solve By Factorisation 3x 2 2x 3 3x 8 X 4 Brainly In

Factor Theorem Video Lessons Examples And Solutions

Factorise 3x2 X 4 Factorise 3x 2 X 4 Youtube

Ml Aggarwal Solutions For Class 10 Chapter 5 Quadratic Equations In One Variable Free Pdf Available

Polynomial Functions

Solved 3 15 Point Use Lu Factorization Of The Coeffic Chegg Com

Example 3 Factor By Grouping Factor The Polynomial X 3 3x 2 16x 48 Completely X 3 3x 2 16x 48 Factor By Grouping X 2 16 X 3 Distributive Ppt Download

Using Factor Theorem Factorise The Polynomial X Rays To 4 X Rays To 3 7x Rays To 2 X 6 Mathematics Topperlearning Com Mj3686vv

Determine Which Of The Following Polynomials Has X 1 A Factor

The Polynomial P X X4 2x3 3x2 Ax 3a 7 When Divided By X 1 Leaves The Remainder 19 Studyrankersonline

6 Extending Algebra 6 0 Introduction 6 1 The Cubic Equation Objectives Pdf Free Download

Polynomials Exercise 2 3 Class 10 Breath Math

Solved 17 Use Inverse Matrices And The Graphing Calculat Chegg Com

Ml Aggarwal Solutions For Class 10 Chapter 5 Quadratic Equations In One Variable Free Pdf Available

X 4 3x 2 2x 1 X 1 Mathematics Topperlearning Com Zk54umss

Factorization Of Polynomials Using Factor Theorem A Plus Topper

3x 2 X 2 X 2 7x 12 3x 2

Factorize X 3 3x 2 9x 5 Maths Questions

Factorise X4 3x2 2 Mathematics Topperlearning Com

Math Scene Equations Iii Lesson 2 Quadratic Equations

3 Ways To Factor Algebraic Equations Wikihow

Factorise X 4 3x 2 4 Brainly In

Factorize 3x 2 X 4 Youtube

Find The Factors Of 3x 2 X Quora

View Question Factor X 4 3x 2 2

On Dividing X 3 3x 2 X 2 By A Polynomials G X The Quotient And Remainder Were X 2 And 2x 4 Respectively Find G X

Factorise 3x 2 X 4 Using I Splitting The Middle Term Method Ii Factor Theorem Brainly In

3x 2 X 4 Factorise By Splitting The Middle Term Brainly In

How To Factorize X 4 3x 2 2 Quora

Simplicity 3x 2 X 4 Maths Questions

As I Factorise 3x 2 X 4

3x 2 X 4 Factorise 3x X 4

Cbse 8 Math Cbse Factorization Ncert Solutions

Solving Cubic Equations Methods Examples

Factoring

Ex 2 4 2 Use The Factor Theorem To Determine Whether Ex 2 4

Finding Zeros Of Polynomials 2 Of 2 Video Khan Academy

Factorization 3x 2 13x 4 Youtube

Find The Zeros Of The Polynomial F X 4 3x 5x 2 3 Verify The Relationship Between The Zeros Its Coefficients Quora

Evaluate 3x 2 2x 8

Factorise X 4 3x 2 28 Youtube

What Is The Value Of A And B If X 2 4 Is A Factor Of Ax 4 2x 3 3x 2 Bx Quora

Factorise 3 X Square X 4 Brainly In

Solve 3x 2 X 4 24 Youtube

Factorize 3x2 X 4 Mathematics Topperlearning Com Dz3xd1b66

Factor Factor A Polynomial And Trinomial With Step By Step Math Problem Solver

Factoring Quadratic Expressions Lesson 4 4 Part 2 Ppt Download

Example 5 Find Roots Of 3x2 2 Root6 X 2 0 Class 10

Solve Ppt Download

How Do You Factor By Grouping X 3 12 3x 2 4x Socratic

How To Factorize X 2 3x 2 Study Com

Polynomials Exercise 2 3 Class 10 Breath Math

For What Value Of A If X 2 Is A Factor Of Factor Of 4x 4 2x 3 3x 2 8x 5a Sarthaks Econnect Largest Online Education Community

Factorize 3x2 X 4 Mathematics Topperlearning Com Dz3xd1b66

Ml Aggarwal Solutions For Class 10 Maths Chapter 6 Factorization Access Free Pdf

Selina Concise Mathematics Class 10 Icse Solutions Remainder And Factor Theorems A Plus Topper

How Do You Divide 3x 2 8x 4 X 2 By Synthetic Division Socratic

Factor Factor A Polynomial And Trinomial With Step By Step Math Problem Solver

Math Paper Class 9 Factorization Abstract Algebra

Multiply X 3 X 2 X X X X Bellringer Part Two Foil X 2 2x 3x 6 X 2 5x Ppt Download

Howto How To Factor An Equation With X4

Factoring Trinomials Ppt Download

Solve X 2 3x 2 0 Youtube

Factorise X 4 4 3x 2 Dronstudy Questions

Solve For X In This Complex Equation X 4 3x 2 4 0 Youtube

Find The Values Of A And B If X 2 4 Is A Factor Of Ax 4 2x 3 3x 2 Bx 4 Sarthaks Econnect Largest Online Education Community

Check Whether 2x 4 3x 3 3x 2 6x 2 Is Divisible By X 2 2

Howto How To Factor An Equation With X4

Factor 3x 2 2x 1 Study Com

7 Factorise 3x2 X 4 Brainly In

Warm Up Exercises Factor Out A Common Binomial Example 1 2x X 4 3 X 4 A 3y 2 Y 2 5 2 Y B Factor 1 From 2 Y Distributive Property Ppt Download

Solved 7 Factor 3x2 X 4 Chegg Com

Ncert Solutions For Class 9 Maths Chapter 2 Exercise 2 4 Polynomials

None Division Mathematics Factorization

Given Matrix A 4sin30 E Following Equations By Factorization 3x2 X 4 Sum To N Terms Math Meritnation Com