フレーム内の300+写真

X 24+13x 2x 13 Solve

Solving Exponential Equations Exact Answer For 7 X 3 4 2x 1 Youtube

What Is The Solution To The Equation 1 2x 3 2 X 1 1 4 5 Quora

5x 3 X 2 4 9 4 1 2 X 2x 1 3 Math Linear Equations In Two Variables 631 Meritnation Com

Solutions Manual For Calculus For Business Economics And The Social A

Solve Solve Inequalities With Step By Step Math Problem Solver

Module 2 Exponential Functions

Trigonometry Trigonometric Identities and Equations Solving Trigonometric Equations 1 Answer Noah G Oct 24, 16 Let #t = cosx# We can thus rewrite the equation as #2t^2 3t 1 = 0# This can be factored as follows.

X 24+13x 2x 13 solve. Get an answer for '`(3/2)x 4 = 13` Solve the equation for x' and find homework help for other Math questions at eNotes. Transcript Ex 61, 16 Solve the given inequality for real x ((2𝑥 − 1))/3 ≥ ((3𝑥 − 2))/4−((2 − 𝑥))/5 ((2𝑥 − 1))/3 ≥ ((3𝑥 − 2))/4. To add or subtract expressions, expand them to make their denominators the same Least common multiple of 3 and 4 is 12 Multiply \frac{x1}{3} times \frac{4}{4}.

Above expression can be written as follows by applying laws of indices = 2^(2x)(3^x÷√3) = (3^x * √3) (2^2x ÷ 2) Now, let 2^2x = a & 3^x = b => a (b/√3. Misc 14 Solve tan1 (1 − x)/(1 x) = 1/2 tan1 x, (x > 0) tan1 (1 − x)/(1 x) = 1/2 tan1 x 2 tan1 ((1 − x)/(1 x)) = tan1 x We know that 2 tan1 x = tan. Step 2 apply second derivative test f xx=6xf yy= −6yf xy= −2 At (0;0), f xx=0,f yy=0,f xy= −2So D= f xxf yy−(f xy)2 = −4.

First note so Take the log of both sides (any base, it doesn't matter) Use the laws of logs Distribute and collect like terms. Solve by Factoring x/43/x=1/4 Move to the left side of the equation by subtracting it from both sides To write as a fraction with a common denominator , multiply by. Next, we find what is 2/3 of 1/4 First, we find 1/3 of 1/4 as being 1/12 Therefore, 2/3 has to be double that much, or 2/12 After introducing the shortcut for fraction multiplication (multiply the numerators, multiply the denominators), I solve a few simple problems and a word problem.

Free math problem solver answers your algebra, geometry, trigonometry, calculus, and statistics homework questions with stepbystep explanations, just like a math tutor Enter a problem Algebra Examples Popular Problems Algebra Solve for x 4(x1)3=3(x4) Simplify. Equivalent fractions 2 Write the equivalent multiplication expression 2 1/6÷3/4;. Compute answers using Wolfram's breakthrough technology & knowledgebase, relied on by millions of students & professionals For math, science, nutrition, history.

Find an answer to your question x2/41/3=x 2x1/3 please solve linear equations in one variable class 7 cbse. Find an answer to your question (x2)/41/3=x(2x1)/3 Solve this equation perimeter of a triangle is 16 cm find the perimeter of triangle obtained by joining the mid points of the triangle. Compute answers using Wolfram's breakthrough technology & knowledgebase, relied on by millions of students & professionals For math, science, nutrition, history.

4x2=1 Two solutions were found x = 1/2 = 0500 x = 1/2 = 0500 Rearrange Rearrange the equation by subtracting what is to the right of the equal sign from both sides of the equation. Understand the how and why See how to tackle your equations and why to use a particular method to solve it — making it easier for you to learn;. We have (2xyy)dx(x²x)dy=0 y(2x1)dx(x²x)dy=0 y(2x1)dx=(x²x)dy x≠0,1 , y≠0 (2x1)/(x²x)dx=(1/y)dy we should now find the fraction (2x1)/x(x1.

# = x/(x^21)1/(x^22)# There terms may be integrated by substitution For the first, use #u = x^21# to get #1/2ln (x^21)# For the second use #x=sqrt2u# to get. Solve x2/4 1/3 =x 2x1/3. Stepbystep Equation Solver This math calculator enables you to solve and graph an equation and solve a system of equations Here are some hints on the solver usage if your problem doesn't contain an equal sign ("=") you are on the wrong page Expressions can't be "solved", only simplified Click on the Expressions menu item.

WebMath is designed to help you solve your math problems Composed of forms to fillin and then returns analysis of a problem and, when possible, provides a stepbystep solution Covers arithmetic, algebra, geometry, calculus and statistics. Question This question is from textbook Beginning Al Solve by completing the square 4x^2 2x 3 = 0 4x^2 2x = 3 x^2 2/4x = 3/4 Square onehalf of the of the xcoefficient and then add it to both sides 1/2 of 2/4 = 1/4^2 = 1/16. Learn from detailed stepbystep explanations Get walked through each step of the solution to know exactly what path gets you to the right answer;.

Free math problem solver answers your algebra, geometry, trigonometry, calculus, and statistics homework questions with stepbystep explanations, just like a math tutor. Quadratic Equation Solver We can help you solve an equation of the form "ax 2 bx c = 0" Just enter the values of a, b and c below Is it Quadratic?. Solve your math problems using our free math solver with stepbystep solutions Our math solver supports basic math, prealgebra, algebra, trigonometry, calculus and more.

The roots are 1,1,2 It is easy to see by inspection that x = 1 satisfies the equation (1)^33times(1)2 = 132=0 To find the other roots let us rewrite x^33x2 keeping in mind that x1 is a factor x^33x2 = x^3x^2x^2x2x2 qquadqquad = x^2(x1)x(x1)2(x1) qquadqquad = (x1)(x^2x2) qquadqquad = (x1)(x^2x2x2) qquadqquad = (x1){x(x1)2(x1)} qquadqquad = (x1)^2(x2. 7 answers work out the equation of the line which has a gradient of 2 and passes the (1,7)?. Divide \frac{4}{3}, the coefficient of the x term, by 2 to get \frac{2}{3} Then add the square of \frac{2}{3} to both sides of the equation This step makes the left hand side of the equation a perfect square.

Only if it can be put in the form ax 2 bx c = 0, and a is not zero The name comes from "quad" meaning square, as the variable is squared (in other words x 2) These are all quadratic equations in disguise. Learn how to solve calculus problems step by step online Solve int(x*(13*x^2)^4)dx We can solve the integral \int x\left(13x^2\right)^4dx by applying integration by substitution method (also called USubstitution) First, we must identify a section within the integral with a new variable (let's call it u), which when substituted makes the integral easier. Very simple 3(3x1) 2(3x) = 0 9x 3 6 2x = 0 7x 3 = 0 (3 from both sides) 7x = 3 (divide both sides by 7) x = 3/7 or as a decimal.

Find an answer to your question x2/41/3=x 2x1/3 please solve linear equations in one variable class 7 cbse. Get the answer to Expand (x2)^2 with the Cymath math problem solver a free math equation solver and math solving app for calculus and algebra. Application Suppose that you put $1000 into a bank at an interest rate r compounded monthly for 3 years Then the amount A that will be in the account at the end of the three years will be A = 1000(1 r/12) 36 Find the rate at which A rises with respect to a rise in the interest rate when the interest rate is 6% Solution We are asked to find a derivative.

Cake fractions Thomas ate 1/3 of cake, Bohouš of the rest of the cake ate 2/5. Dig deeper into specific steps Our solver does what a calculator won’t breaking down key steps. Solve your math problems using our free math solver with stepbystep solutions Our math solver supports basic math, prealgebra, algebra, trigonometry, calculus and more Microsoft Math Solver Solve Practice Download Solve Practice (18x^33x^2x1)/(x^24).

Solve the quadratic equation texx^2x69=0/tex In the answer box, write the roots separated by a comma Problem 3 Solve the equation tex(x2)^22x=7(x2)/tex In the answer box, write the roots separated by a comma Problem 4 Solve the equation tex\frac{2x1}{x1}=\frac{7x1}{2x2}/tex. Free math problem solver answers your algebra, geometry, trigonometry, calculus, and statistics homework questions with stepbystep explanations, just like a math tutor Enter a problem Algebra Examples Popular Problems Algebra Solve for x 3(x2)=2(2x3) Simplify Tap for more steps. Problem 3 Solve the equation A) $\frac{5x 4}{2} = \frac{05x 1}{3}$ B) $1 –\frac{x 3}{5} = \frac{3x 3}{3}$ C) $\frac{x 1}{3} – \frac{2x 5}{2} = 3$.

3x < 9 i'd solve it as an equality 3x = 9 giving x = 3 see if zero is in the solution set 7*0 1 < 4(02) 1 < 8 false so x < 3 (doesn't contain zero) and x < 3 which is D Dr S L Frank would have solved it this way good luck. Solve the equation by completing the square x⁴ 3x² 4 = 0 4x⁴ 12x² 16 = 0 (2x² 3)² 25 = 0 (2x² 3)² = 25 2x² 3 = ±5 2x² = 8 OR 2x² = 2. Finding on the table, we are able to verify that as our x values advance by potential of a million, our y values are showing suitable squares in spite of the undeniable fact which you in addition to mght observe that the y values are showing the sq of the subsequent x fee observe while x is a million, y = 4, that's the sq of two while x is two, y=9, that's the sq of three.

Free equations calculator solve linear, quadratic, polynomial, radical, exponential and logarithmic equations with all the steps Type in any equation to get the solution, steps and graph This website uses cookies to ensure you get the best experience By using this website, you agree to our Cookie Policy Learn more Accept. Step by step solution Step 1 Equation at the end of step 1 ((x 3) 3x 2) 4 = 0 Step 2 Polynomial Roots Calculator 21 Find roots (zeroes) of F(x) = x 33x 2 4 Polynomial Roots Calculator is a set of methods aimed at finding values of x for which F(x)=0 Rational Roots Test is one of the above mentioned tools. Free PreAlgebra, Algebra, Trigonometry, Calculus, Geometry, Statistics and Chemistry calculators stepbystep.

Solve 2x3=15 Check Answer x=6 How to Check Your Answer with Algebra Calculator First go to the Algebra Calculator main page Type the following First type the equation 2x3=15 Then type the @ symbol Then type x=6 Try it now 2x3=15 @ x=6 Clickable Demo Try entering 2x3=15 @ x=6 into the text box. Question Solve the exponential equation 4^(x1)=3^(2x) Answer by solver() (Show Source) You can put this solution on YOUR website!. Since y=3x then we substitute (3x) for y in the other equation thus 2x=3x1 2x3x=1x=1 x=1 solution now substitute 1 for x in either equation & solve for y.

How do you solve #2cos^2x3cosx1=0# and find all solutions in the interval #(0,2pi)#?. Solve 2x3=15 Check Answer x=6 How to Check Your Answer with Algebra Calculator First go to the Algebra Calculator main page Type the following First type the equation 2x3=15 Then type the @ symbol Then type x=6 Try it now 2x3=15 @ x=6 Clickable Demo Try entering 2x3=15 @ x=6 into the text box. You can put this solution on your website!.

Solve for x (2x3)/4=(x4)/2(x1)/4 Since is on the right side of the equation , switch the sides so it is on the left side of the equation Move to the left side of the equation by subtracting it from both sides. Get stepbystep answers and hints for your math homework problems Learn the basics, check your work, gain insight on different ways to solve problems For chemistry, calculus, algebra, trigonometry, equation solving, basic math and more.

Step By Step Math Wolfram Alpha Blog

Solved Solving Linear Equations 14 Which Is The Solution Chegg Com

Example 9 Solve The Equation 2x 1 X 3 Chapter 4

18 G11 Math E Clone Flip Book Pages 1 250 Pubhtml5

Ex 4 1 1 Class 10 Check Whether Following Are Quadratic Equations

Solve For X 3 X 1 1 X 1 4 X Where X Is Not 0 X Is Not 1 X Is Not 1 Studyrankersonline

Solved Perform The Indicated Operations 1 3x 5 2x 1 Chegg Com

Solved F X 2x 1 25 X 0 1 2 3 4 Probabilities Chegg Com

Solved Solve The Following Equations 5 X 3 1 2 X 2 Chegg Com

Int 2x 3 3x 2 4x 5 2x 1 Dx Equls To A X 3 2 X

Solve X 2 4 1 3 X 2x 1 3 Brainly In

Is G 1 1 2 3 3 5 4 7 A Function If This Is Described By The Formula G X Alpha X Beta Then What Values Should Be Assigned To Alpha And Beta

Solve Each Of The To 4 2 4 X 1 3 X Exercise 15a Of The Scholr

Solved Find All Rational Zeros And Factor F X 37 F X Chegg Com

Answered Solve Radical Equations X 3x 2 4 Bartleby

Simplify Add Or Subtract Fractions With Step By Step Math Problem Solver

Ex 3 6 1 I And Ii Solve 1 2x 1 3y 2 1 3x 1 2y

Solved 13 X 2x 11x 12 0 3 A 4 3 Mult 2 B Chegg Com

Linear Equations 4 Video Khan Academy

Solve For X 2 2x 1 X 3 3 X 3 2x 1 5 Brainly In

Solved Dehlens 75 6 Perform The Indicated Operations Chegg Com

Solved Find The Remainders On Division Of A X 5 4x 4 Chegg Com

Solve For X Sol 3x 7 2 7 4 X 1 5 2 3 2x 1 Studyrankersonline

5 Ways To Solve For X Wikihow

Solve For X And Y X 1 2 Y 1 3 9 And X 1 3 Y 1 2 8 Brainly In

Answered 9 Solve Each Inequality A X 2 Bartleby

What Is The Value Of 4x 3 2x 2 8x 7 If X 3 1 2 Quora

How To Solve Math 3 2x 3 4 3 X 2 1 0 Math Quora

If 2 X 1 3 1 X Then Find The Value Of X Quora

X 2 4 1 3 X 2x 1 3 Plzz Give Me The Correct Answer Brainly In

Ex 6 1 16 Solve 2x 1 3 3x 2 4 2 X 5

Systems Of Equations With Substitution 9x 3y 15 Y X 5 Video Khan Academy

Solve For X 4x 3 2x 1 10 2x 1 4x 3 3 X 1 2 3 4

Solve 2x 1 3 3x 2 4 2 X

Solve For X Sqrt 2x 1 Sqrt 3x 2 Sqrt 4x 3 Sqrt 5x 4 Youtube

Which Of The Following Is A Quadratic Equation X2 2x 1 4 X 2 3 Studyrankersonline

Simplify The Expression And Find The Value If X 2 In 4 2x 1 3x 11

3 Ver A Value Of K For Which The Quadratic Equation X2 2x 1 3k 7 2k 3 0 Has Equal Roots Is 1 1 2 2 4 4

Solve Solve Linear And Quadratic Equations With Step By Step Math Problem Solver

Solve The Equation 7x 1 4 1 3 2x 1 X 2 19 3 Brainly In

Problem 4 Solve Linear Equation Y 1 3 Y 2 4 1 Youtube

Solved 2 X 4 3 X 9 X 3 2 5 2 X 2 1 3 Chegg Com

X 2 4 1 3 X 2x 1 3 Please Solve Linear Equations In One Variable Class 7 Cbse Brainly In

Solve For X 2 X 1 3 2 X 2 23 5x X 0 1 2 Sarthaks Econnect Largest Online Education Community

Int 2x 3 3x 2 4x 5 2x 1 Dx Equls To A X 3 2 X

Solve And Verify The Equation Given Below X 2 4 1 3 X 2x 1 3 Brainly In

X 1 X 2 X 3 X 4 3 1 3 Solve For X Brainly In

Solved F X X 4 Squareroot 2x 1 Y Log 7 2x 2 3x 2 S Chegg Com

F X 3 Find The Numerical Value Of

X 1 2 2 X 1 X 1 3 3 X 1 5 6

Module 2 Polynomial Functions

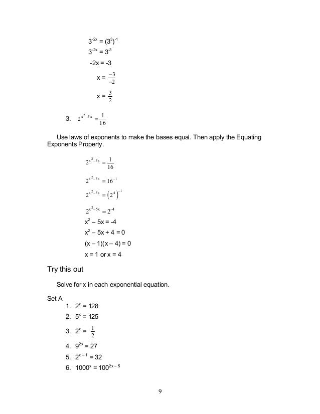
Module 2 Exponential Functions

5x 3 X 2 4 9 4 X 2x 1 3 Mathematics Topperlearning Com 6z5fd111

7 Solve The Inequality For Real X 2x 1 3 Gt 3x 2 4 2

Evaluate The Following Integral Int 2x 3 X 2 4x 5 Dx

How To Solve X 1 X 2 X 3 X 4 10 3 Quora

What Is The Answer For This Problem Integration Limit 0 To 1 Of 3x 3 X 2 2x 4 Divided By X 2 3x 2 Dx Quora

Solve The Given Inequality For Real X 2x 1 3 3x 2 4 2 X 5 Sarthaks Econnect Largest Online Education Community

2 I Let X 1 2 3 4 Y 1 2 10 And F X 2x 1 Xe X Find The Range Of F

How To Solve X 1 X 2 X 3 X 4 6 0 Quora

Solution Set Of The Inequality 2x 1 3 3x 2 5 X

Ex 6 1 12 Solve 1 2 3x 5 4 1 3 X 6 Cbse Ex 6 1

4 2x 1 2 X 5 5 X 1 3

Math Scene Equations Iii Lesson 2 Quadratic Equations

5x 3 X 2 4 9 4 1 2 X 2x 1 3 Math Linear Equations In Two Variables 631 Meritnation Com

X 2 4 1 3 X 2x 1 3 Please Solve Linear Equations In One Variable Class 7 Cbse Brainly In

How Do You Integrate 2x 1 X 1 X 2 X 3 Using Partial Fractions Socratic

Solve 2x 1 X 2 Xx X 1 2x 1 3 5 X In N Youtube

Solved Chapter 1 1 Consider The Functions F X X 5x Chegg Com

Integrate X 3 2x 2 X 1 X 4 5x 2 4 Dx Youtube

Solution Simplify The Following Equation 5x 2x 2 7x 3 X

Rd Sharma Solutions For Class 8 Chapter 9 Linear Equation In One Variable Download Free Pdf

Solve The Given Inequality For Real X 2x 1 3 3x 2 4 2 X 5 Mathematics Shaalaa Com

Solve For X X 1x 1 X 2x 2 4 2x 3x 2 X 1 2 2

Chapter 8 Systems Of Equations And Inequalities

Solve The Equation 1 4 X X X 4 3 X 4 X Answer Ppt Video Online Download

Solve The Following Equation A 5x 11 2x 7 C 3 X 8 2 X 5 2 5x E 2 3x 1 7 2 6x 7

Solve And Check The Following Equations 3 2x 1 2 X 4 1 Brainly In

Ex 4 1 1 Class 10 Check Whether Following Are Quadratic Equations

Solved Solving Logarithmic Equations 1 E 5x 3 2 Chegg Com

Example 9 Solve The Equation 2x 1 X 3 Chapter 4

How To Solve X X 1 3 Quora

What Is The Sum Of 1 2x 3x 2 Nx N 1 Quora

Resolve 2x 3 X 1 X 2 1 2 Into Partial Fractions Youtube

Solve The Linear Equation 1 2 X 1 1 3 X 1 5 12 X 2 Brainly In

Solved Solve The Rational Equation 3x 2x 1 3 1 X 1 Chegg Com

Solve For X 1 X 1 X 2 1 X 2 X 3 1 X 3 X 4 1 6 Youtube

X 2 4 1 3 X 2x 1 3 Solve And Check

Solving Rational Equations

Wolfram Alpha Examples Step By Step Solutions

Solve 2x 2 6x 3 0 3x 2 X 4 0 1 2x 3x 2 0

Problem 6 Solve Linear Equation 2x 1 3 6x 2 5 1 3 Youtube