フレーム内の300+写真

X2 45+x5+3x1015

X 2 4 5 2c 5 3x 10

Answer Grid Two Step Equations Ppt Download

If X 2 5x 1 0 Then X 10 1 X 5 Has The Value Youtube

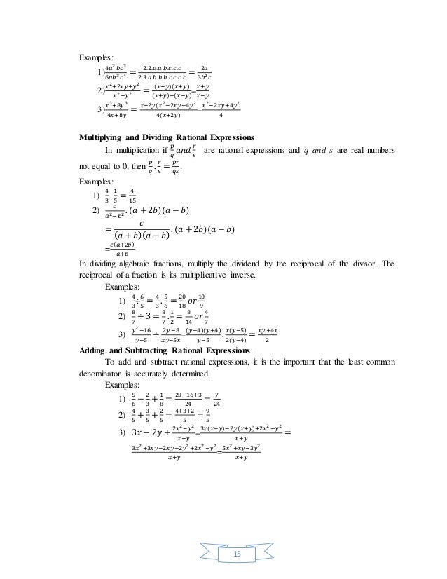
Chapter 1

Multiplying Fractions Review Article Khan Academy

Introductory Mathematical Analysis Textbook Solution Manual

Compute answers using Wolfram's breakthrough technology & knowledgebase, relied on by millions of students & professionals For math, science, nutrition, history.

X2 45+x5+3x1015. 41 Factoring x 5 3x 4 14x 3 42x 2 45x 135 Thoughtfully split the expression at hand into groups, each group having two terms Group 1 42x 2 14x 3. Algebra Simplify the following expression 4(12÷(53) I need help with just this question plz algebra ^ = exponent **show work please A sheet of 67pound paper has a thickness of 100^1 inch a write and evaluate an expression for the total thickness of 5 sheets of 67pound paper b write and evaluate an expression for the total. Free math problem solver answers your algebra, geometry, trigonometry, calculus, and statistics homework questions with stepbystep explanations, just like a math tutor.

Solve 3x4(2x5)=2(x1)5/2 please answer Paiye sabhi sawalon ka Video solution sirf photo khinch kar. Slope of the line = (2 √3)(x 5) is ml = (2 √3 ) Related questions 0 votes 1 answer P1, P2 are points on either of the two lines y √3 x = 2 at a distance of 5 units from their point of intersection asked Feb , 18 in Class XI Maths by nikita74 (1,017 points) straight lines 0 votes 1 answer Find the equations of the. Use the distributive property to multiply 2 by x5 2x10 Use the distributive property to multiply 2 by x5 Examples Quadratic equation { x } ^ { 2 } 4 x 5 = 0 x 2.

X/2 4/5x/53x/10 = 1/5 Solve the given equation. 1 0 − 3 x = 5 − (3 x − 1 0) − x To find the opposite of 3x10, find the opposite of each term To find the opposite of 3 x − 1 0 , find the opposite of each term. Solve for x 10/(x(x2))4/x=5/(x2) Find the LCD of the terms in the equation Tap for more steps Finding the LCD of a list of values is the same as finding the LCM of the denominators of those values Since contain both numbers and variables, there are four steps to find the LCM.

Compute answers using Wolfram's breakthrough technology & knowledgebase, relied on by millions of students & professionals For math, science, nutrition, history. Transcript Example 6 Solve ﷐3𝑥 − 4﷮2﷯ ≥ ﷐𝑥 1﷮4﷯−1 Show the graph of the solutions on number line ﷐3𝑥 − 4﷮2﷯ ≥ ﷐𝑥 1﷮4﷯− 1 ﷐3𝑥 − 4﷮2﷯ ≥ ﷐𝑥 1 −(4)﷮4﷯ ﷐3𝑥 − 4﷮2﷯ ≥ ﷐𝑥 − 3﷮4﷯ 4(3x – 4) ≥ 2(x – 3) 12x – 16 ≥ 2x – 6 12x – 2x ≥ – 6 16 10x ≥ 10 x ≥ ﷐10﷮10﷯ x ≥ 1 The. You can put this solution on YOUR website!.

D/dx((x^2 4 x 5)^4) = 8 (x 2) (x^2 4 x 5)^3 1 0 How do you think about the answers?. Free math problem solver answers your algebra, geometry, trigonometry, calculus, and statistics homework questions with stepbystep explanations, just like a math tutor. Performance Specifications Mass range 1 to 140 mass units (> 80 at reduced HV) Background ≥ 5 x 1014 cc STP at 36Ar Argon sensitivity > 1 3x systems The source electronics are taken from the MAT 253 stable 10 Amps / Torr with a source current < 1 mA.

Waterin the ratio 51 On adding 5litres of water, the ratioto water becomes 52Find the quantity of milk in theorigina l mixture hlo guys i am back hru akl 3 ankok ki sabse badi sankhaya ka pravarti kya hai do prime factorization by this method show how to do. Solve your math problems using our free math solver with stepbystep solutions Our math solver supports basic math, prealgebra, algebra, trigonometry, calculus and more. You can put this solution on YOUR website!.

Solution for =x5*X^23x4 equation Simplifying 0 = x 5X 2 3x 4 Reorder the terms 0 = 4 5X 2 x 3x Combine like terms x 3x = 4x 0 = 4 5X 2 4x Solving 0 = 4 5X 2 4x Solving for variable 'X' Move all terms containing X to the left, all other terms to the right Add '5X 2 ' to each side of the equation 0 5X 2 = 4 5X 2 5X 2 4x Remove the zero 5X 2 = 4 5X. Free math problem solver answers your algebra, geometry, trigonometry, calculus, and statistics homework questions with stepbystep explanations, just like a math tutor. X/2 4/5x/53x/10 = 1/5 Solve the given equation.

How do you simplify #(x – 8)(x 5)#?. Solve your math problems using our free math solver with stepbystep solutions Our math solver supports basic math, prealgebra, algebra, trigonometry, calculus and more. How do you simplify #(p1)^2#?.

Evaluate ( limit as x approaches 5 of x^23x10)/(x5) Take the limit of each term Tap for more steps Apply L'Hospital's rule Tap for more steps Evaluate the limit of the numerator and the limit of the denominator Tap for more steps Take the limit of the numerator and the limit of the denominator. Compute answers using Wolfram's breakthrough technology & knowledgebase, relied on by millions of students & professionals For math, science, nutrition, history. Compute answers using Wolfram's breakthrough technology & knowledgebase, relied on by millions of students & professionals For math, science, nutrition, history.

Click here 👆 to get an answer to your question ️ x/24/5x/53x/10=1/5 Sonji plots –9 on a number line to represent the depth of her sailboat underwater and labels it B. You can sign in to vote the answer Sign in Iggy Rocko Lv 7 5 months ago Use the power rule and chain rule f(x) = (x^2 4x 5)^4 f '(x) = 4(x^2 4x 5)^3 * d/dx(x^2 4x 5) f '(x) = 4(x^2 4x 5)^3 * (2x 4) f '(x) = (8x 16)(x^2 4x. Free simplify calculator simplify algebraic expressions stepbystep.

X5/4(2/3)=0 Step by step solution Step 1 2 Simplify — 3 Equation at the end of step 1 5 2 (x —) — = 0 4 3 Step 2 5 Simplify — 4 Equation at the end of step 2 5 2 (x —) — = 0 4 3 Step 3 Rewriting the whole as an Equivalent Fraction 31. First equation, as far as i can tell, is 3^(2x1) = 5 you really need parentheses to remove any doubt as to which part of the expression is in the exponent and which part isn't. X/ 2 4/5 x/5 3x/10= 1/5 A mixture conting milk &amp;.

Free math problem solver answers your algebra, geometry, trigonometry, calculus, and statistics homework questions with stepbystep explanations, just like a math tutor. Find an answer to your question X/2 4/5 x/5 3x/10 = 1/5 Solve the equation Two chords AB and CD intersect P inside the circlelf AB = 13cm and PC = 12 cm PD = 3 cm a) Write the relation between PA, PB, PC and PD b) If PA = r. Find the values of p and q so that f(x) = {x23xp,ifx≤1 qx2,ifx>1 is differentiable at x = 1 0 votes 62k views.

Actual 15in x 725in x 10ft) Our lumber is a premium blend of Spruce, Pine and Fir Stable, strong, light in weight and easy to work with. Free math problem solver answers your algebra, geometry, trigonometry, calculus, and statistics homework questions with stepbystep explanations, just like a math tutor. Click here👆to get an answer to your question ️ The function x^5 5x^4 5x^3 10 has a maximum, when x =.

Solve for x 5(x4). Find an answer to your question X/2 4/5 x/5 3x/10 = 1/5 Solve the equation Two chords AB and CD intersect P inside the circlelf AB = 13cm and PC = 12 cm PD = 3 cm a) Write the relation between PA, PB, PC and PD b) If PA = r. Get the answer to Solve the Equation x4=5 with the Cymath math problem solver a free math equation solver and math solving app for calculus and algebra.

X/4 1= x/5 The LCD of the denominators = Multiplying by the LCD, throughout, (x/4) (1) = (x/5) ==> 5x = 4x ==> 5x 4x =. Free system of equations calculator solve system of equations stepbystep. X/24/5x/53x/10=1/5 5xx3x/10=1/5 10x8=2 x=1 hope it would help u itzinnovativegirl5 itzinnovativegirl5.

Find the limit of f(x) as x→5 f(x) = (x5)/(x 2 3x10) Expert Answer Previous question Next question Get more help from Chegg Get 11 help now from expert Precalculus tutors Solve it with our precalculus problem solver and calculator. Solve your math problems using our free math solver with stepbystep solutions Our math solver supports basic math, prealgebra, algebra, trigonometry, calculus and more. See all questions in Multiplication of Polynomials by Binomials Impact of this question 367 views around the world You can reuse this answer.

Write ln x as ln(x) 5 Sample Inputs for Practice Eg1 Write (10x2)(x 2) as 10*x2x^2 2 Write cos(x 3) as cos(x^3) 3 Write e x lnx as e^xln(x) 6 Ensure that the input string is as per the rules specified above An online derivative calculator that differentiates a given function with respect to a given variable by using analytical. Find the values of p and q so that f(x) = {x23xp,ifx≤1 qx2,ifx>1 is differentiable at x = 1 0 votes 62k views. Transcript Ex 61, 16 Solve the given inequality for real x ((2𝑥 − 1))/3 ≥ ((3𝑥 − 2))/4−((2 − 𝑥))/5 ((2𝑥 − 1))/3 ≥ ((3𝑥 − 2))/4.

Free equations calculator solve linear, quadratic, polynomial, radical, exponential and logarithmic equations with all the steps Type in any equation to get the solution, steps and graph. How do you simplify #(3x2y)^2#?. Free math problem solver answers your algebra, geometry, trigonometry, calculus, and statistics homework questions with stepbystep explanations, just like a math tutor.

(Common 2in x 8in x 10ft;.

Algebra Number Data Shape Ppt Download

Introductory Mathematical Analysis Textbook Solution Manual

Simplify 3 2x4 5 9 5x 10 3 1 2x3 4

X 2 4 5 X 5 3x 10 1 5 Solve The Equation Brainly In

How To Solve Fraction Questions In Math 10 Steps With Pictures

X 2 4 5 X 5 3x 10 1 5 Solve The Equation Brainly In

X 5 4 5 X 5 3x 10 1 5

Solved Example Problems For Regression Analysis Maths

X 2 4 5 X 5 3x 10 1 5 Answer Will Be 25 Brainly In

Ex 12 1 7 Simplify I 25 X T 4 5 3 X 10 X T 8 Ii 3 5 X 10

How To Solve Fraction Questions In Math 10 Steps With Pictures

X 2 4 5 X 5 3x 10 1 5 Solve The Given Equation Youtube

Ex 4 6 15 If A 2 3 5 3 2 4 1 1 2 Find A 1 And Solve

X 2 4 5 X 5 3x 10 1 5please Answer Brainly In

Solve X 2 4 5 X 5 3x 10 1 5 Youtube

Chapter 1

Solve The Simple Equation X 2 4 5 X 5 3x 10 1 5 Brainly In

Solving Rational Equations Introduction Purplemath

Calameo Ecuaciones

Ex 4 6 15 If A 2 3 5 3 2 4 1 1 2 Find A 1 And Solve

Review Problems For Basic Algebra I Students

X 2 4 5 X 5 3x 10 1 5 Solve The Given Equation Youtube

X 2 4 5 X 5 3x 10 1 5 1 Of

Cbse 10 Math Cbse Linear Equations In Two Variables Ncert Solutions

Chapter 1

Solved Example Problems For Regression Analysis Maths

X 2 4 5 X 5 3x 10 1 5please Answer Brainly In

Solutions Manual For Beginning And Intermediate Algebra 5th Edition B

Solved Example Problems For Regression Analysis Maths

Cbse Ncert Solution For Class 7 Maths Simple Equations

Ex 4 6 15 If A 2 3 5 3 2 4 1 1 2 Find A 1 And Solve

X 2 4 5 X 5 3x 10 1 5 Solve The Given Equation Youtube

How To Solve Fraction Questions In Math 10 Steps With Pictures

2 4 5 5 3 10 1 5 Brainly In

Solved Example Problems For Regression Analysis Maths

Course S1 Mathematics

Solve The Simple Equation X 2 4 5 X 5 3x 10 1 5

X 2 4 5 X 5 3x 10 1 5 Brainly In

How To Solve Fraction Questions In Math 10 Steps With Pictures

How To Solve Fraction Questions In Math 10 Steps With Pictures

X 2 4 5 X 5 3x 10 1 5 Brainly In

Linear Equations 4 Video Khan Academy

Slove The Equation X 2 4 5 X 5 3x 10 1 5 Brainly In

X 2 4 5 X 5 3x 10 1 5 Brainly In

How To Solve Fraction Questions In Math 10 Steps With Pictures

Equation With Two Rational Expressions Old Example 2 Video Khan Academy

Cbse 10 Math Cbse Linear Equations In Two Variables Ncert Solutions

Linear Equations 4 Video Khan Academy

Solve Each Of The Following Equations And Also Verify Your Solu

Simplifying Rational Expressions Grouping Video Khan Academy

Solve By Matrix Inversion Method2 X 3 Y 10 Z 41 X 6 Y 5 Z 16 X 9 Y Z 2

Chapter 1

X 2 4 5 X 5 3x 10 1 5 Brainly In

Ex 12 1 7 Simplify I 25 X T 4 5 3 X 10 X T 8 Ii 3 5 X 10

Did You Solve It Are You Smarter Than A Singaporean Ten Year Old Mathematics The Guardian

X 2 4 5 X 5 3x 10 1 5 Solve The Given Equation Youtube

Did You Solve It Are You Smarter Than A Singaporean Ten Year Old Mathematics The Guardian

Solve The Equation X 2 4 5 X 5 3x 10 1 5 Math Linear Equations In One Variable Meritnation Com

X 2 4 5 X 5 3x 10 1 5 Solve The Equation Brainly In

Ex 4 6 15 If A 2 3 5 3 2 4 1 1 2 Find A 1 And Solve

X 2 4 5 X 5 3x 10 1 5 Solve The Equation Brainly In

Chapter 1

X 2 4 5 X 5 3x 10 1 5 Brainly In

Chapter 1

X 2 4 5 X 5 3x 10 1 5please Answer Brainly In

X 2 4 5 X 5 3x 10 1 5 Brainly In

X 2 4 5 X 5 3x 10 1 5

Rd Sharma Solutions For Class 8 Chapter 1 Rational Numbers Download Free Pdf

Ml Aggarwal Solutions For Class 10 Chapter 5 Quadratic Equations In One Variable Free Pdf Available

How To Find 1 2 1 4 1 8 Video Lesson Transcript Study Com

Math7 Day2 Lesson 6 Oakland Military Institute College Preparatory Academy

X 2 4 5 X 5 3x 10 1 5 Brainly In

Chapter 1

Ex 12 1 7 Simplify I 25 X T 4 5 3 X 10 X T 8 Ii 3 5 X 10

Cbse 10 Math Cbse Linear Equations In Two Variables Ncert Solutions

X By 2 Minus 4 By 5 X By 5 3x By 10 Equal To 1 By 5 Brainly In

Math7 Day2 Lesson 6 Oakland Military Institute College Preparatory Academy

Solved Example Problems For Regression Analysis Maths

Solve The Following Brainly In

Chapter 1

Solve The Following Equationsx 2 4 5 X 5 3x 10 1 5 Brainly In

Solve The Following Equationsx 2 4 5 X 5 3x 10 1 5 Brainly In

Chapter 1

Math7 Day2 Lesson 6 Oakland Military Institute College Preparatory Academy

Rd Sharma Solutions For Class 8 Chapter 1 Rational Numbers Download Free Pdf

Chapter 1