フレーム内の300+写真

Factorizar X4+x3+x2+x+1

8 Ejercicios De Polinomios 2 Eso Parte 1 Superprof

8 Al Factorizar X 3 X 1 X 4 X 2 14 Indicar La Mayor Suma De Coeficientes De Un Factor Primo Brainly Lat

Oaaaaaaaaa Bienvenidos Al Mundo De La Factorizacion Somos Los Teletubbies Y Te Acompanaremos En Esta Tarea De Aprender A Factorizar Buena Suerte Y Ppt Descargar

Factorizar 2x 2 Xy Y 2 3x 3y 2 Por Aspa Doble Youtube

Factorizar X 5 X 4 1 Youtube

Capa Tulo 8 Factorizar Poli

Indicar un factor primo a) x 5 b) x 10 c) x d) x 4 e) x 7 9 15 Factorizar P.

Factorizar x4+x3+x2+x+1. This quartic has four zeros, which are the nonReal Complex #5# th roots of #1#, as we can see from #(x1)(x^4x^3x^2x1) = x^51# So if we wanted to factor this polynomial as a product of linear factors with Complex coefficients then we could write. If you couldn't do three of them in one time, try to do it step by step (x 1)(x 2)(x 3) >> do the (x 1)(x 2) first (x 1)(x 2) = x^2 2x x 2. Blog de Academia Internet https//academiainternetwordpresscom/Donde encontrarás los vídeos de Academia Internet, organizados en temas y capítulosAcademi.

I can't solve this problem, spent a lot of time, just no result $$ x^47x^314x^27x1=0 $$ PLEASE HELP Stack Exchange Network Stack Exchange network consists of 176 Q&A communities including Stack Overflow , the largest, most trusted online community for developers to learn, share their knowledge, and build their careers. Factorizar P(x) = x 4 2x 2 9;. How to factor x^4x^21?.

X 5 4x 3 x 2 3x = x • (x 4 4x 2 x 3) Checking for a perfect cube 42 x 4 4x 2 x 3 is not a perfect cube Trying to factor by pulling out 43 Factoring x 4 4x 2 x 3 Thoughtfully split the expression at hand into groups, each group having two terms Group 1 x 3 Group 2 x 4 4x 2 Pull out from each group. Factorcalculator factorizar x^62x^4x^22 es Related Symbolab blog posts Middle School Math Solutions – Polynomials Calculator, Factoring Quadratics Just like numbers have factors (2×3=6), expressions have factors ((x2)(x3)=x^25x6) Factoring is the process. Factorizar x^41 Reescribe como Reescribe como Dado que ambos términos son cuadrados perfectos, factorizar usando la fórmula de la diferencia de cuadrados, , donde y Simplifica Toca para ver más pasos Reescribe como Factorizar Toca para ver más pasos.

Factorizar 3x 3 – 3x 2 – 90x 3(x 3 – x 2 – 30x) Como 3 es factor común de los tres términos, saca el factor 3 3x(x 2 – x – 30) x también es factor común, saca el factor x 3x(x 2 – 6x 5x – 30) Ahora puedes factorizar el trinomio x 2 – x – 30 Para encontrar r y s, identifica los números cuyo producto es − 30 y. X 5 4x 3 x 2 3x = x • (x 4 4x 2 x 3) Checking for a perfect cube 42 x 4 4x 2 x 3 is not a perfect cube Trying to factor by pulling out 43 Factoring x 4 4x 2 x 3 Thoughtfully split the expression at hand into groups, each group having two terms Group 1 x 3 Group 2 x 4 4x 2 Pull out from each group. In mathematics, factorization (or factorisation, see English spelling differences) or factoring consists of writing a number or another mathematical object as a product of several factors, usually smaller or simpler objects of the same kindFor example, 3 × 5 is a factorization of the integer 15, and (x – 2)(x 2) is a factorization of the polynomial x 2 – 4.

X^4 26x^2 25 enable X (capital X) = x^2 (x^2)^2 26(x^2) 25 X^2 26X 25 (X 25)(X a million) replace X with the unique x^2 (x^2 25)(x^2 a million) The *sum* of two squares isn't factorable using authentic numbers, so that is so a techniques as you could bypass 10x^2 37x 21 p * q = AC = 210 p q = B = 37 210 = 3 * 70, 3 70 = seventy 3 210 = 5 * 40 2, 5 40 2. Factorizar x^31 Reescribe como Como ambos términos son cubos perfectos, factorizar utilizando la fórmula de diferencia de cubos, , donde y Simplifica Toca para ver más pasos Multiplicar por Uno elevado a cualquier potencia es uno Cookies y Privacidad. X^45x^24=0 \sqrt{x1}x=7 \left3x1\right=4 \log _2(x1)=\log _3(27) 3^x=9^{x5} equationcalculator 4(x3)=24 en Related Symbolab blog posts High School Math Solutions – Quadratic Equations Calculator, Part 1 A quadratic equation is a second degree polynomial having the general form ax^2 bx c = 0, where a, b, and c.

X^3 x^2 x 1 = 0 Separate ( x^3 x^2 ) ( x 1 ) = 0 Commutative Law ( x^3 x ) ( x^2 1 ) = 0 Distributive Law x*( x^2 1 ) *( x^2 1 ) = 0. F(x) = x^4 2x² 1 x². Aprende acerca de un método de factorización llamado "agrupación" Por ejemplo, podemos usar la agrupación para escribir 2x²8x3x12 como (2x3)(x4).

Señalar el número de factores primos a) 1 b) 2 c) 3 d) 4 e) 5 14 Factorizar M(x) = x 3 5x 2 – 2x – 24;. Compute answers using Wolfram's breakthrough technology & knowledgebase, relied on by millions of students & professionals For math, science, nutrition, history. Hola una pregunta, tengo un ejercicio en el cual me pide factorizar el polinomio p(x) = – 2x^3 – 6x – 4 Utilizando el teorema de gauss pero solo encuentro dos raíces y no logro escribirlo en su forma factorizada, alguien me ayudaria.

Solve your math problems using our free math solver with stepbystep solutions Our math solver supports basic math, prealgebra, algebra, trigonometry, calculus and more. Calcula el vértice y el máximo valor de la función f(x) = −x2 x 1 Calcula los puntos de intersección con los ejes coordenados f(x) = x2 − 4x − 12 Halla el vértice de la parábola y marca el punto en un plano(y 4) = −2(x − 3)2 Calcula los puntos de intersección de la parábola f(x) = x2 3x − 10 con los ejes de. Factorcalculator factor x^{2}4x3 en Related Symbolab blog posts Middle School Math Solutions – Polynomials Calculator, Factoring Quadratics Just like numbers have factors (2×3=6), expressions have factors ((x2)(x3)=x^25x6) Factoring is the process.

Solve your math problems using our free math solver with stepbystep solutions Our math solver supports basic math, prealgebra, algebra, trigonometry, calculus and more. Estoy casi seguro que es no es la respuestas que buscabas para tus tareas de bachillerato, así que la próxima vez deberías especificar, al menos, con lo que te doy tienes un bonito ejercicio de números complejos para encontrar la factorización dentro de los números reales que sí te inter saba. Que propiedades puedo aplicar para factorizar el polinomio x^4 x^3 x^2 x 1=(x^51)/(x1), x=/=1 Las raices quintas de la unidad son.

Valor en x= Calculadora de Integrales calcula una integral indefinida (antiderivada) de una función con respecto a una variable dada mediante la integración analítica También permite dibujar gráficos de la función y su integral. Take the LCM of the denominators = (x1)(x2)(x3)(x4) Divide the LCM by the denominator of each term and multiply the result with the numerator of the respective term. Compute answers using Wolfram's breakthrough technology & knowledgebase, relied on by millions of students & professionals For math, science, nutrition, history.

Indicar un factor primo a) x 5 b) x 10 c) x d) x 4 e) x 7 9 15 Factorizar P. 31 Find roots (zeroes) of F(x) = x 42x 313x 2 14x24 Polynomial Roots Calculator is a set of methods aimed at finding values of x for which F(x)=0 Rational Roots Test is one of the above mentioned tools. Question (2) Let X1, X2, X3, X4 Have The Joint Probability Density Function F(C1, C2, X3, X4) = 24e (11 22 23xa), 0 < 21,22,23,24 < 0 Let Yı = X1, Y2 = X2 – X1, Y3 = X3 – X2,Y4 = X4 – X3 (i) Using The Change Of Variable Technique, Find The Joint Probability Density Func Tion Of Yı, Y2, Y3, Y4 (ii) Find The Conditional Distribution Of Y4 Given Y1, Y2, Y3.

Take the LCM of the denominators = (x1)(x2)(x3)(x4) Divide the LCM by the denominator of each term and multiply the result with the numerator of the respective term. Señalar el número de factores primos a) 1 b) 2 c) 3 d) 4 e) 5 14 Factorizar M(x) = x 3 5x 2 – 2x – 24;. Shop homewerks worldwide 3/4in x 3/4in dia x 21/2in l union union pvc fitting in the pvc fittings section of Lowescom.

Use the factorisation of p (x) = 2 x 5 − 22 x 4 78 x 3 −90 x 2 from the above e x ercise to solve the equation 2 x 5 − 22 x 4 78 x 3 − 90 x 2 = 0 In some situations, the factorisation results in a quadratic equation with either no real solutions or irrational solutions. (x 1) / x = 4 x 1 = 4x 1 = 3x (1/3) = x (x^3 1) / x^3 => (1/27 1) / (1/27) => (28/27) / (1/27) => 28 EDIT x (1/x) = 4 x^2 1 = 4x x^2 4x 1 = 0. Aprende en línea a resolver problemas de factorización paso a paso Factorizar la expresión x^4x^3x^2x Podemos factorizar el polinomio x^4x^3x^2x usando el teorema de la raíz racional, el cual indica que para un polinomio de la forma a_nx^na_{n1}x^{n1}\\dotsa_0 existe una raíz racional de la forma \\pm\\frac{p}{q}, donde p pertenece a los divisores del término independiente a.

X^4_x^34x^2_x_1, f15_エンジンスタート, 固定資産税_クレジットカード, x^2_3xy28y^2, 7g_熊本, _lego_instructions, led_h11_3000k, lexmark_z602_driver_windows_10, f15c_pixy, 711_phone_login, 7days_to_die_ps4_スキル, 三井住友銀行_住宅ローン_金利_ネット, 千葉真一_嫁, x2_x2_pro, 越路_バス停. Factor #x^3x^2−x−1# The idea of grouping #x^2# with #1# looks really tempting because it's the Difference of Two Squares 1) Find a useful grouping # (x^3 x) (x^2 1)# 2) Factor each group #x (x^2 1) 1 (x^2 1)# 3) Factor out #(x^2 1)# from each group #(x^2 1)(x 1)# 4) Factor #(x^2 1)# as the Difference of Two Squares. Factorcalculator Factor x^{2}x1 es Related Symbolab blog posts Middle School Math Solutions – Equation Calculator Welcome to our new "Getting Started" math solutions series Over the next few weeks, we'll be showing how Symbolab.

Click here👆to get an answer to your question ️ What must be added to f(x) = 4x^4 2x^3 2x^2 x 1 so that the resulting polynomial is divisible by g(x) = x^2 2x 3. Expandcalculator Expand (x1)(x2)(x3)(x4) en Related Symbolab blog posts Middle School Math Solutions – Equation Calculator Welcome to our new "Getting Started" math solutions series Over the next few weeks, we'll be showing how Symbolab. Factorizar P(x) = x 4 2x 2 9;.

Rectangular Steel Tubing Our carbon steel rectangular tubing is stocked in both A513 mechanical and A500 structural designations, in a variety of sizes and lengths to suit many applications. Factorizar 3x 3 – 3x 2 – 90x 3(x 3 – x 2 – 30x) Como 3 es factor común de los tres términos, saca el factor 3 3x(x 2 – x – 30) x también es factor común, saca el factor x 3x(x 2 – 6x 5x – 30) Ahora puedes factorizar el trinomio x 2 – x – 30 Para encontrar r y s, identifica los números cuyo producto es − 30 y. El siguiente producto notable `a^2b^2=(ab)*(ab)` se usa por ejemplo para factorizar la expresión `1x^2`, el resultado devuelto por el la función es `(1x)(1x)` Factorización online de polinomios de segundo grado.

Aprende en línea a resolver problemas de factorización de polinomios paso a paso Factorizar la expresión x^22x1 El trinomio x^22x1 es un trinomio cuadrado perfecto, ya que su discriminante es igual a cero Utilizamos la relación del trinomio cuadrado perfecto Factorizamos el trinomio cuadrado perfecto. I don&#39;t get how to factor this polynomial I know the answer, I just need help with the process Source(s) factor 4 2 1 https//biturlim/NvX79 0 2 Anonymous 10 years ago Use factorbygrouping and completing the squares method to factor that expression!. In mathematics, factorization (or factorisation, see English spelling differences) or factoring consists of writing a number or another mathematical object as a product of several factors, usually smaller or simpler objects of the same kindFor example, 3 × 5 is a factorization of the integer 15, and (x – 2)(x 2) is a factorization of the polynomial x 2 – 4.

Calculadora gratuita de ecuaciones – Resolver ecuaciones lineales, cuadráticas, bicuadradas, con valor absoluto y con radicales paso por paso. Use the factorisation of p (x) = 2 x 5 − 22 x 4 78 x 3 −90 x 2 from the above e x ercise to solve the equation 2 x 5 − 22 x 4 78 x 3 − 90 x 2 = 0 In some situations, the factorisation results in a quadratic equation with either no real solutions or irrational solutions. Shop homewerks worldwide 3/4in x 3/4in dia x 21/2in l union union pvc fitting in the pvc fittings section of Lowescom.

Indique un término de un factor primo a) x b) 8x c) d) x 2 e) 9 7x 13 Factorizar P(x) = x 4 x 2 25;.

Raices De Un Polinomio 11

Factorizar X 3 X 4 X 3 X 4 Brainly Lat

Calameo Factorizacion

Factorizar X 1 5 X 1 4 E Indicar El Termino Independiente De Un Factor Primo Brainly Lat

Descomposiciones Factoral Factorizacion Apuntes Parte2 Docsity

Factorizacion De Polinomios

Circulo De Matematica Algebra Factorizacion Algebra

How Do You Factor X 2 11x 24 Socratic

Factorizacion Ejercicios

X 2 Soluciones A Los Ejercicios De La Unidad 1 Saca Factor Comun 2 Expresa Los Polinomios Siguientes Como Cuadrado De Un Binomio Pdf Free Download

Factorizacion Utilizando La Formula General De Segundo Grado Monografias Com

Guia 05 Algebra 1

Ecuaciones De Segundo Grado Ppt Descargar

Pdf Factorizaciyn Carla Maria Perez Oyllor Academia Edu

Reto Para Factorizar X 2 4 Revelado Youtube

Solucionario Libro 4esob By Junjete Issuu

Factorizacion Wikipedia La Enciclopedia Libre

Algebra Trilce Flip Ebook Pages 101 150 Anyflip Anyflip

Algebra Ejercicios Propuestos Y Resueltos Docsity

Factorizando Trinomios Por Agrupacion 1

Instituto Tecnologico De Chetumal Pdf Descargar Libre

Factorizacion

Factorizacion Problemas Resueltos

Como Factorizar El Binomio X 4 1 Youtube

Metodo De La Agrupacion De Terminos Ejercicios Resueltos Y Para Resolver En Factorizacion De Polinomios

Unidad 6 By Maria Angeles Ordonez Issuu

Pdf Factorizacion Peter Colt Academia Edu

Ejercicios Resueltos Sobre Los Polinomios Docsity

Tema 4 Polinomios

Estudiante De Ultima Hora Factorizacion Metodo 10 Polinomios Reciprocos Facebook

Factorizacion Paso A Paso Desde Cero Con Ejemplos Y Ejercicios Resueltos En Pdf Y Videos

Factorizar Cuadraticas Como X A X B Ejemplo 2 Video Khan Academy

Calameo Casos De Factorizacion

Factorizacion Polinomios

Factorizacion De Ecuaciones Cuadraticas

Calameo Algebra 3

Adicional 4 Factorizacion Matematicas Discretas

Factorizacion Por Aspa Simple Ejemplos Y Ejercicios Resueltos Ejercicios Resueltos Polinomios Ejercicios

Algebra Ejercicios Propuestos Y Resueltos Docsity

Factoriza X 4 2x 2 1 X 3 X Brainly Lat

Puedes Factorizar El Siguiente Polinomio Usando Artificios Algebraicos Factorizar X X 1 Youtube

Compe Algebra Trilce Pages 51 100 Flip Pdf Download Fliphtml5

How To Factorise X X 1 Quora

X 2 Soluciones A Los Ejercicios De La Unidad 1 Saca Factor Comun 2 Expresa Los Polinomios Siguientes Como Cuadrado De Un Binomio Pdf Free Download

Factorizar Por Agrupacion Articulo Khan Academy

Factorizacion Problemas 3 4 5 Docx Factorizacion Objetos Matematicos

Factorizacion De Polinomios Oggisioggino S Blog

Factorizar X 4 X 2 1 Youtube

3 Formas De Factorizar Trinomios Wikihow

Como Factorizar Un Polinomio Cubico 12 Pasos

Factorizacion Factorizar Una Expresion Algebraica Consiste En Escribirla Como Un Producto

Compe Algebra Trilce Pages 51 100 Flip Pdf Download Fliphtml5

Algebra Basica By David Gonzales Issuu

Como Factorizar Un Polinomio Cubico 12 Pasos

Factorizacion Problemas Resueltos Para Preuniversitarios Pdf

Factorizacion De Polinomios Soluciones

Factorizacion Que Es Y Como Factorizar Con Ejemplos Toda Materia

Tema 2 Polinomios Y Fracciones Algebraicas 1 Tema 2

Factorizacion De X 3 4 Diferencia De Cubos La Prof Lina M3 Youtube

Me Pueden Factorizar Esto Neta Lo Ocupo Por Favor Brainly Lat

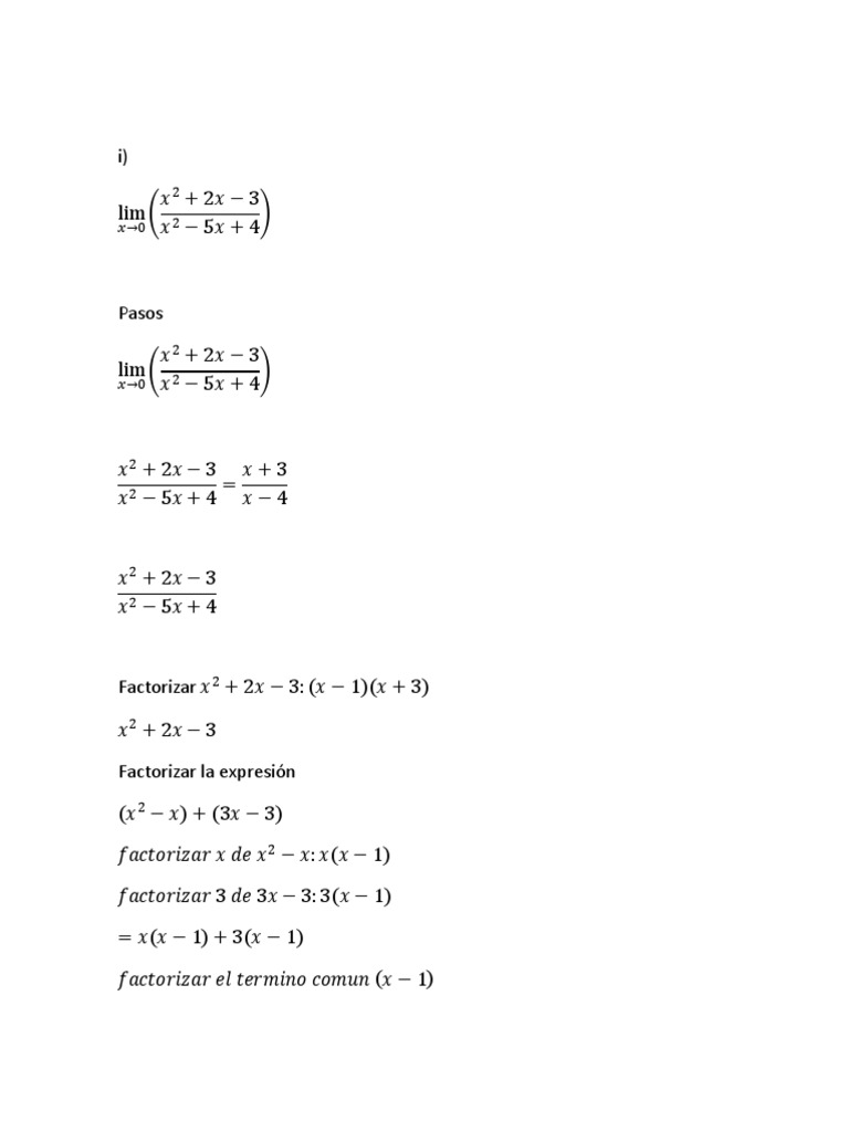
Ejercicio De Limite Algebra Ensenanza De Matematica

Algunos Casos De Factorizacion

Factoriza X 4 2x 2 1 X 3 X Brainly Lat

Clase 54 5x Y X 5 Y P X X X 7x 7 X Y 3 2 Ppt Descargar

Factorizacion De Polinomios

Polinomios 1 Si P X 4x3 3x2 1 Y Q X 3x2 3x 2 Opera A P

Factorizacion De Polinomios De Mayor Grado Factor Comun Video Khan Academy

Caso Del Factor Comun Ejercicios Resueltos Y Para Resolver En Factorizacion De Polinomios

Calameo Factorizacion

Algebra Teoria Y Practica Elite X 6 Factor 2 Factorizacion Algebra

X 2 4 X 2 2 Factorizar Factorizacion De Polinomios Cuadraticos Youtube

Factorizacion De X 3 4x La Prof Lina M3 Youtube

Factorizar X 3 X 2 X 1

X 1 4 X 2 X 2 1 X 4 1 X 2 3 T 2

Compe Algebra Trilce Pages 51 100 Flip Pdf Download Fliphtml5

Division Por Ruffini Por Luis Enrique Alvarado Vargas Monografias Com

Regla De Ruffini Factorizar Un Polinomio Youtube

Factorizar X2 X 2 Brainly Lat

How To Factorise X X 1 Quora

Factorise X4 X2 1 Polynomials Maths Class 9

Factorizar X 7 X 5 1 Artificios Algebraicos Youtube

Como Factorizar Usando Artificios Youtube

Casos De Factorizacion Y Ecuaciones

Factorizacion Tercer Bloque 14

Factorizar X4 X2 1 Brainly Lat

Algebra Ii Parcial 1 5 Correlativos Algebra Abstracta Aritmetica

Factorizacion Problemas Resueltos

Factorizar Polinomios Rufiniza Con Ruffini

Algebra Ejercicios Propuestos Y Resueltos Docsity

Factorizacion Scherzer Ppt Video Online Descargar