フレーム内の300+写真

Solve X+3x 2 1 Xx174

X 3 X 2 1 X X 17 X By Completing Square Method Brainly In

R D Sharma Solutions Class 10th Ch 8 Quadratic Equations Exercise 8 3

Wolfram Alpha Examples Step By Step Solutions

R D Sharma Solutions Class 10th Ch 8 Quadratic Equations Exercise 8 3

Page 21 Vedic Mathematics

Solve Equations With Square Roots Elementary Algebra

Calculator Use This online calculator is a quadratic equation solver that will solve a secondorder polynomial equation such as ax 2 bx c = 0 for x, where a ≠ 0, using the quadratic formula The calculator solution will show work using the quadratic formula to solve the entered equation for real and complex roots.

Solve x+3x 2 1 xx174. Bubblyy Bhavzz, added an answer, on 24/10/15 Bubblyy Bhavzz answered this in the given equation x3/x2 1x/x=17/4 taking the lcm of (x2) and x, we get x (x3) { (x2) (1x)} / x (x2) = 17/4 x 2 3x {xx222x} / x 2 2x =17/4 x 2 3xxx 2 22x / x 2 2x =17/4 2x 2 2 / x 2 2x =17/4 17x 2 34x=8x 2 8. Solve for x 3/(x 1) 4/(x 1) = 29/(4x 1);. 44 Find roots (zeroes) of F(x) = x 3 7x 2 17x Polynomial Roots Calculator is a set of methods aimed at finding values of x for which F(x)=0 Rational Roots Test is one of the above mentioned tools It would only find Rational Roots that is numbers x which can be expressed as the quotient of two integers.

Solve for x 3/4=x/12 Rewrite the equation as Multiply both sides of the equation by Simplify both sides of the equation Tap for more steps Cancel the common factor of Tap for more steps Cancel the common factor Rewrite the expression. Solve your math problems using our free math solver with stepbystep solutions Our math solver supports basic math, prealgebra, algebra, trigonometry, calculus and more. Algebra 2/Trigonometry June 15 Regents Questions 28 39 28 Solve algebraically for x 54 x = 125 x 1 29 In triangle ABC, determine the number of distinct triangles that can be formed if m∠A = 85, side a = 8, and side c = 2.

Share It On Facebook Twitter Email 1 Answer 0 votes answered Sep 26, 18 by KajalAgarwal (445k points) selected Sep 28, 18 by Vikash Kumar Best answer Given that,. Solve for x (x4)/3=(x2)/2 Multiply the numerator of the first fraction by the denominator of the second fraction Set this equal to the product of the denominator of the first fraction and the numerator of the second fraction Solve the equation for. Solve the Following Quadratic Equation by Factorisation Method X 3 X − 2 − 1 − X X = 17 4 Concept Solutions of Quadratic Equations by Factorization.

Eg1 Write input √x as x^(1/2) 2 Write 5x as 5*x 3 Write x5 as x5 4 Write x 25x as x^25*x 3 Use paranthesis() while performing arithmetic operations Eg1 Write sinxcosxtanx as sin(x)cos(x)tan(x) 2 Write secx*tanx as sec(x)*tan(x) 3 Write tanx/sinx as tan(x)/sin(x) 4 Use inv to specify inverse and ln to specify natural log. Equations Tiger Algebra gives you not only the answers, but also the complete step by step method for solving your equations (x3)/(x2)(1x)/x=17/4 so that you understand better. 33 Solving x 2x4 = 0 by Completing The Square Add 4 to both side of the equation x 2x = 4 Now the clever bit Take the coefficient of x , which is 1 , divide by two, giving 1/2 , and finally square it giving 1/4 Add 1/4 to both sides of the equation On the right hand side we have.

Share It On Facebook Twitter Email 1 Answer 0 votes answered Sep 26, 18 by KajalAgarwal (445k points) selected Sep 28, 18 by Vikash Kumar Best answer Given that,. Solve for x 3/(x 1) 4/(x 1) = 29/(4x 1);. Find the coefficient of x^17 in (x^2 x^3 x^4 x^5 x^6 x^7)^3 Find the coefficient of x^47 in (x^10 x^11 x^25)(x x^2 x^15)(x^ x^45) Find the coefficient of x^32 in (x^3 x^4 x^5 x^6 x^7)^7.

It means a function x of x1x*(x1) is rightUse the ^ (caret) for exponentiation x^2 means x squared x/2y means Resources Simplifier Portal, help with entering simplifier formulas (a must read). Just enter your equation carefully, like shown in the examples below, and then click the blue arrow to get the result!. Solve an equation of the form a x 2 b x c = 0 by using the quadratic formula x = − b ±.

Eg1 Write input √x as x^(1/2) 2 Write 5x as 5*x 3 Write x5 as x5 4 Write x 25x as x^25*x 3 Use paranthesis() while performing arithmetic operations Eg1 Write sinxcosxtanx as sin(x)cos(x)tan(x) 2 Write secx*tanx as sec(x)*tan(x) 3 Write tanx/sinx as tan(x)/sin(x) 4 Use inv to specify inverse and ln to specify natural log. You must use the "*" (star) symbol for all multiplications!x(x1) is WRONG!. Free equations calculator solve linear, quadratic, polynomial, radical, exponential and logarithmic equations with all the steps Type in any equation to get the solution, steps and graph This website uses cookies to ensure you get the best experience By using this website, you agree to our Cookie Policy Learn more Accept.

You can solve as many equations as you like completely free If you need detailed stepbystep answers you'll have to sign up for Mathway's premium service (provided by a third party). Mani216 mani216 Math Secondary School X3/x2 1x/x = 17/4 solve by factorisation method 2 See answers Vishank Vishank Answer Stepbystep explanation Solution We have. 33 Solving x 2x4 = 0 by Completing The Square Add 4 to both side of the equation x 2x = 4 Now the clever bit Take the coefficient of x , which is 1 , divide by two, giving 1/2 , and finally square it giving 1/4 Add 1/4 to both sides of the equation On the right hand side we have.

Solve 2x3=15 Check Answer x=6 How to Check Your Answer with Algebra Calculator First go to the Algebra Calculator main page Type the following First type the equation 2x3=15 Then type the @ symbol Then type x=6 Try it now 2x3=15 @ x=6 Clickable Demo Try entering 2x3=15 @ x=6 into the text box. How do you solve radical equations with cube roots?. 3x=17–2 3x=15 X=15/3 X=5.

Solve x^2 3x 4 = 0;. X ≠ 1, 1/4 quadratic equations;. Simplifying 5x 3 = x 11 Reorder the terms 3 5x = x 11 Reorder the terms 3 5x = 11 x Solving 3 5x = 11 x Solving for variable 'x' Move all terms containing x to the left, all other terms to the right.

Quadratic formula a = 1, b = 1, c = 2;. Free math problem solver answers your algebra, geometry, trigonometry, calculus, and statistics homework questions with stepbystep explanations, just like a math tutor. Solve 2x9 2x6 x5 2x2 x 0 (mod 5) I Solution Since 2x9 2x6 x5 2x2 5x = (x5 x)(2x4 2x1) and since x x (mod 5) for any integer x by Fermat’s theorem, it follows that every integer value of x is a solution of the given equation J 4 Solve the system 5x2 4x 3 0 (mod 6).

Solve 2x3=15 Check Answer x=6 How to Check Your Answer with Algebra Calculator First go to the Algebra Calculator main page Type the following First type the equation 2x3=15 Then type the @ symbol Then type x=6 Try it now 2x3=15 @ x=6 Clickable Demo Try entering 2x3=15 @ x=6 into the text box. Solve your math problems using our free math solver with stepbystep solutions Our math solver supports basic math, prealgebra, algebra, trigonometry, calculus and more. How do you solve #\sqrt{x15}=\sqrt{3x3}#?.

View more examples » Access instant learning tools Get immediate feedback and guidance with stepbystep solutions and Wolfram Problem Generator Learn more about Stepbystep solutions » Wolfram Problem Generator » VIEW. X ≠ 1, 1/4 quadratic equations;. Free PreAlgebra, Algebra, Trigonometry, Calculus, Geometry, Statistics and Chemistry calculators stepbystep.

In this case a=1 (it is the coefficient that multiplying by the quadratic term x 2), b=3b=3 (the coefficient that multiplying by the linear term x), and c=1 (the constant) Example # 2 What are the coefficients now, if you have the following expression 5/4 3/4 x1/2 x 2. "x = 438, −038" Stepbystep explanation The equation to solve is a quadratic We take 17 to the other side and divide by 3 and solve by taking square root and be sure to take and solutions Hence, the solutions are x = 438 and 038. An equation x^x^3 = 3 and its embedding in wider class of equations that all have the same solution ad first sight surprisingly.

Example 14 Find the roots of the following equations (i) x 1/𝑥=3,𝑥≠0 x 1/𝑥=3 (𝑥 (𝑥) 1)/𝑥=3 (𝑥2 1)/𝑥=3 x2 1 = 3x x2 – 3x 1 = 0 We will factorize by quadratic formula Comparing equation with ax2 bx c = 0 Here, a = 1, b = –3, c = 1 We know t. Two numbers r and s sum up to 3 exactly when the average of the two numbers is \frac{1}{2}*3 = \frac{3}{2} You can also see that the midpoint of r and s corresponds to the axis of symmetry of the parabola represented by the quadratic equation y=x^2BxC. Solve for x (x4)/3=(x2)/2 Multiply the numerator of the first fraction by the denominator of the second fraction Set this equal to the product of the denominator of the first fraction and the numerator of the second fraction Solve the equation for.

Compute answers using Wolfram's breakthrough technology & knowledgebase, relied on by millions of students & professionals For math, science, nutrition, history. Solve the quadratic equations by factorization method only x^2 – x 1 = 0 asked Mar 21, in Quadratic Equations by Prerna01 ( 5k points) quadratic equations. How do you find extraneous solutions when solving radical equations?.

Equations Tiger Algebra gives you not only the answers, but also the complete step by step method for solving your equations x3/x21x/x=17/4 so that you understand better. Solve for x Calculator StepbyStep Examples Algebra Solve for x Calculator Step 1 Enter the Equation you want to solve into the editor The equation calculator allows you to take a simple or complex equation and solve by best method possible Step 2. A cleaner algebraic approach is to notice that due to the symmetry of the coefficients, if #x=r# is a zero of #x^4x^3x^2x1#, then #x=1/r# is also a zero Hence there is a factorisation in the form.

X3/x2 1x/x = 17/4 solve by factorisation method Get the answers you need, now!. Equations Tiger Algebra gives you not only the answers, but also the complete step by step method for solving your equations x3/x2(1x)/x=17/4 so that you understand better. Quadratic formula 4x^2 4 x 8;.

A cleaner algebraic approach is to notice that due to the symmetry of the coefficients, if #x=r# is a zero of #x^4x^3x^2x1#, then #x=1/r# is also a zero Hence there is a factorisation in the form. Get the free "Solve for X Calculator" widget for your website, blog, Wordpress, Blogger, or iGoogle Find more Mathematics widgets in WolframAlpha.

Example 1 Solve An Equation With Two Real Solutions Solve X 2 3x 2 X 2 3x 2 Write Original Equation X 2 3x 2 0 Write In Standard Form Ppt Download

0e Exercises Mathematics Libretexts

Solucionario De Matematicas Para Administacion Y Economia

Solve The Following Quadratic Equation By Factorisation Method X 3 X 2 1 X X 17 4 Sarthaks Econnect Largest Online Education Community

Solve For X X 3 X 2 1 X X 17 4 Brainly In

Vertex Form Of A Quadratic Equation Algebra Socratic

Solutions Manual For Beginning And Intermediate Algebra 6th Edition By Lial Ibsn By Young759 Issuu

Step By Step Math Wolfram Alpha Blog

How Do You Factor X 3 8x 2 17x 10 Socratic

Solved 15 Find The Value Of The Determinant 16 Solve For Chegg Com

How To Solve 1 X 1 Y 7 2 X 3 Y 17 Where X And Y Is Not Equal To 0 By Cross Multiplication Method Quora

Systems Of Equations With Elimination 3y 4x 11 Y 2x 13 Video Khan Academy

Solve The Quadratic Equation X 3 X 2 1 X X To 17 4 By Factorization Method Brainly In

Unit 17 More Algebra Mathematics 9 1 Igcse Year Ppt Download

Grade 7 Unit 6 Practice Problems Open Up Resources

Example 17 Solve 2 X 3 Y 13 5 X 4 Y 2 Examples

X 3 X 2 1 X X 17 4 By Factorization Method Math Quadratic Equations Meritnation Com

X 3 X 2 1 X X 17 X X 0 2

How To Solve Fraction Questions In Math 10 Steps With Pictures

Solve The Equation X 3 X 2 1 X X 17 4 X Not Equal To 0 3 2 Brainly In

10 5 Is The Solution Of The Equation 3 X 2 17

Solve X 3 X 2 1 X X 17 4 Youtube

Solve By Factorization Method X 3 X 2 1 X X 17 4 Math Quadratic Equations Meritnation Com

Solucionario De Matematicas Para Administacion Y Economia

Solve Solve Linear And Quadratic Equations With Step By Step Math Problem Solver

Free Math Answers Answers Within 24 Hours Step By Step Explanations

How To Solve For X If X 1 X 2 X 3 X 4 1 Quora

Solve The Following Quadratic Equation By Factorisation Method X X 1 X 1 X 34 15 Sarthaks Econnect Largest Online Education Community

Solve Solve Linear And Quadratic Equations With Step By Step Math Problem Solver

Math Scene Inequalities Lesson 3 Absolute Values

Ex 2 1 4 Solve 3 7 X 17 7 Chapter 2 Class 8 Teachoo

If X 2 1 X 2 17 4 Then Find X 1 X X 1 X X 3 1 X 3 And X 3 1 X 3 Youtube

Solve The Quadratic Equation X 3 X 2 1 X X 17 4 By Factorisation Method Brainly In

Graphing Parabolas

8x 4 3 X 1 7 Youtube

Solved Solve Equations Solve The Following Equations Rem Chegg Com

If X 2 1 X 2 23 What Is The Value Of X Quora

X 3 X 2 1 X X 17 4 Solve The Given Equation Youtube

Grade 9 Math Solving Equations 2 Rhhs Math

Grade 7 Unit 6 Practice Problems Open Up Resources

Solve Quadratic Equation X 3 X 2 1 X X 17 4 By Factorisation Method Brainly In

Free Math Answers Answers Within 24 Hours Step By Step Explanations

Solve The Quadratic Equation 1 X 3 X 2 1 X X 17 4 Math Quadratic Equations Meritnation Com

90 Solve For X Qquad X 3 X 2 1 X X

Solve The Following Quadratic Equation By Factorization I X

Solved Solve The Given Initial Value Problem X 6 1 5 Chegg Com

Solve For X X 3 X 2 1 X X 17 4 X 0 2 Sarthaks Econnect Largest Online Education Community

Solved Solve For X And X2 3 5 17 4 2 1 C 6 X4 X2 Chegg Com

Solucionario De Matematicas Para Administacion Y Economia

1 1 Investigation Ordered Pairs And Solutions Mcgraw Hill Ryerson

Graphing Parabolas

0e Exercises Mathematics Libretexts

Review Packet

If X Is Real Then The Expression Math X 2 34x 71 X 2 2x 7 Math Lies Between 4 And 7 Or Between 5 And 9 Or Has No Value Between 4 And 7 Or Between 5 And 9 Quora

Solve The Following Quadratic Equations By Factorization X 3 X 2 1 X X 17 4 Sarthaks Econnect Largest Online Education Community

Solving Quadratic Equations And Graphing Parabolas

0 Frac 22 X Y Frac 15 X Y 5 Frac 55 X Y Frac 40 X Y 13

Ml Aggarwal Solutions For Class 10 Chapter 5 Quadratic Equations In One Variable Free Pdf Available

Did You Solve It Are You Smarter Than A Singaporean Ten Year Old Mathematics The Guardian

Exercise Algebra Problem Questions With Answer Solution Mathematics

Solve For X 3 X 1 1 X 1 4 X Where X Is Not 0 X Is Not 1 X Is Not 1 Studyrankersonline

7 Solve For Xqquad X 3 X 2 1 X X

3 5 1 2x 4 17 27 Find X Mathematics Topperlearning Com Dx5d60nn

Objective To Solve Equations With The Variable In Both Sides Solve 2x 4 5x X 4 3x 3x 3 7 X 5x 3x 4 Ppt Download

R D Sharma Solutions Class 10th Ch 8 Quadratic Equations Exercise 8 3

R D Sharma Solutions Class 10th Ch 8 Quadratic Equations Exercise 8 3

Rd Sharma Solutions For Class 10 Chapter 8 Quadratic Equations Pdf For Free

If A 1 A 17 4 Find A 1 A Maths Short Trick Cbse Ntse Nda Nift Algebra 5 Youtube

Find X X 3 X 2 1 X X 17 4 Brainly In

Step By Step Math Wolfram Alpha Blog

Answers

Solved Suppose That C C 33 0 3 Solve The Equation Chegg Com

Step By Step Math Wolfram Alpha Blog

X 3 X 2 1 X X 17 4 Mathematics Topperlearning Com Ggfxny11

Example 17 Solve 2 X 3 Y 13 5 X 4 Y 2 Examples

Solve X 3 X 2 1 X X 17 4 Brainly In

Quadratic Factoring

Solve Using Formula X2 3x A 2 0 X2 X A 1 A 2 0 4 X 5 2x 3 3 X 3 X 2 X 1 X 17 4 5x2 6x 2 0 Solve Using Factorization Method 1 X 2 2 X 1 6 X X2 2ax B2 0 b2x2 B2x2 x2 1 0 X 1 2 2 4 Math Quadratic Equations

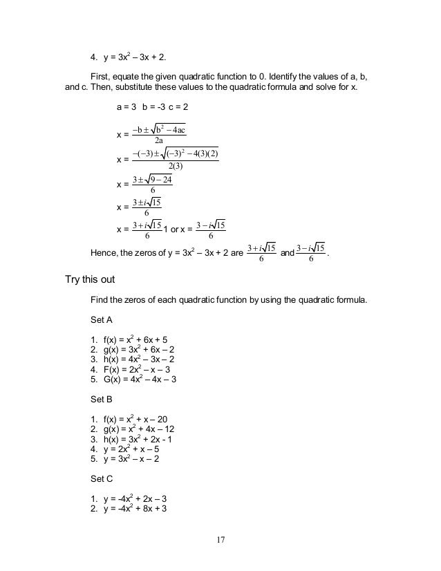
Module 3 Quadratic Functions

Free Math Answers Answers Within 24 Hours Step By Step Explanations