フレーム内の300+写真

X+4x+3x+2x+1 1200

Rd Sharma Solutions For Class 10 Chapter 8 Quadratic Equations Pdf For Free

Find The Zeroes Of The Polynomial X 4 X 3 34x 2 4x 1 If Two Of Its Zeroes Are 2 And Brainly In

Cbse 10 Math Cbse Arithmetic Progression Ncert Solutions

Std12 Stat Em

Ml Aggarwal Solutions For Class 10 Chapter 5 Quadratic Equations In One Variable Free Pdf Available

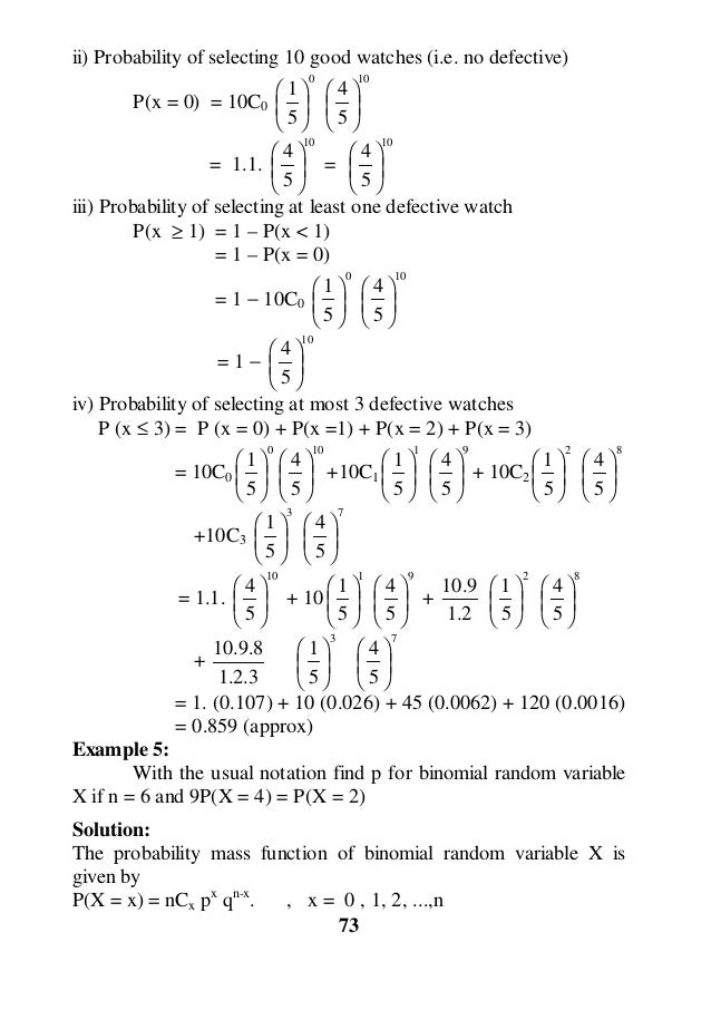
S Mathematics 06 Pages 351 400 Flip Pdf Download Fliphtml5

Given f (x) = 3x 2 – x 4, find the simplified form of the following expression, and evaluate at h = 0 This isn't really a functionsoperations question, but something like this often arises in the functionsoperations context.

X+4x+3x+2x+1 1200. Math\displaystyle \quad\int \frac{\sqrt{xx^{2}}}{x^{4}} d x/math math\displaystyle =\int \frac{\sqrt{x} \sqrt{1x}}{x^{4}} d x\\/math math \displaystyle. This is a difficult integral I would suggest beginning with x^4 1 = (x^2 sqrt(2) x 1)(x^2 sqrt(2) x 1) Then you want to do partial fractions. The former notation is commonly used for simpler exponents, while the latter is preferred when the exponent is a complicated expression The graph of = is upwardsloping, and increases faster as x increases The graph always lies above the xaxis, but becomes arbitrarily close to it for large negative x;.

Presenter MetallicaSong 2 X 4Album LoadLyricsYeahI'm gonna make you, shake you, take youI'm gonna be the one who breaks youPut the screws into ya, my way. McAfee® Network Security Platform formerly McAfee® IntruShield ® is a combination of network appliances and software that accurately detects and prevents intrusions, denial of service (DoS) and distributed denial of service (DDoS) attacks, and network misuse McAfee Network Security Platform combines realtime intrusion detection and prevention for the most comprehensive and effective. Compute answers using Wolfram's breakthrough technology & knowledgebase, relied on by millions of students & professionals For math, science, nutrition, history.

Eg Write input x 2 as x^2 2 Use ^(1/2) for square root ,'*' for multiplication, '/' for division, '' for addition, '' for subtraction Eg1 Write input √x as x^(1/2) 2 Write 5x as 5*x 3 Write x5 as x5 4 Write x 25x as x^25*x 3 Use paranthesis() while performing arithmetic operations Eg1 Write sinxcosxtanx as sin(x)cos(x. Example 1 In the integral ∫ we may write = ⁡, = ⁡, = ⁡, so that the integral becomes ∫ = ∫ ⁡ ⁡ = ∫ ⁡ ( ⁡) = ∫ ⁡ ⁡ = ∫ = = ⁡ , provided ≠ For a definite integral, the bounds change once the substitution is performed and are determined using the equation = ⁡, with values in the range − <. Alexandria Moulding Douglas Fir S4S Mixed Grain Board (Common 2 in x 4 in x 96 in;Actual 15 in x ) Model# 102X4DM096C $ 31 80 /piece $ 31 80 /piece Free delivery with $45 order Set your store to see local availability Add to Cart Compare Dimensions 2 in x 4 in.

Example 1 In the integral ∫ we may write = ⁡, = ⁡, = ⁡, so that the integral becomes ∫ = ∫ ⁡ ⁡ = ∫ ⁡ ( ⁡) = ∫ ⁡ ⁡ = ∫ = = ⁡ , provided ≠ For a definite integral, the bounds change once the substitution is performed and are determined using the equation = ⁡, with values in the range − <. The critical numbers are \displaystyle{0},{1},\text{and }\ \frac{{4}}{{7}} Explanation \displaystyle{f{{\left({x}\right)}}}={x}^{{4}}{\left({x}{1}\right)}^{{3. This is a difficult integral I would suggest beginning with x^4 1 = (x^2 sqrt(2) x 1)(x^2 sqrt(2) x 1) Then you want to do partial fractions.

Compute answers using Wolfram's breakthrough technology & knowledgebase, relied on by millions of students & professionals For math, science, nutrition, history. Is y = (3 x^2 x 7) 4 x injective?. Applect Learning Systems Pvt Ltd What are you looking for?.

Views around the world You can reuse this answer Creative Commons License. Common Measurement (T x W) 1/4in x 4in x 2ft Actual Size 025in x 35in x 2ft Combine with other moulding to create a unique buildup pattern Great for DIY furniture and projects Square on all four sides makes this board ideal for shelving. Common Measurement (T x W) 1/2in x 2in x 4ft Actual Size 05in x 15in x 4ft Combine with other moulding to create a unique buildup pattern Great for DIY furniture and projects Square on all four sides makes this board ideal for shelving.

Becca M · Ahmed Elnaiem Dec 11, 14 Step 1 Make the right side of the equation a fraction \displaystyle{\frac{{{3}{x}^{{2}}{2}{x}{1}}}{{{x}^{{2}}{1}}}}=\frac. Views around the world You can reuse this answer Creative Commons License. Area between y = 0 and y = (3 x^2 x 7) 4 x;.

If y=0 , then x 44x 3 =x 3 (x4)=0 so that x=0 and x=4 are the xintercepts There are no vertical or horizontal asymptotes since f is a polynomial See the adjoining detailed graph of f. Applect Learning Systems Pvt Ltd What are you looking for?. Solve your math problems using our free math solver with stepbystep solutions Our math solver supports basic math, prealgebra, algebra, trigonometry, calculus and more.

Compute answers using Wolfram's breakthrough technology & knowledgebase, relied on by millions of students & professionals For math, science, nutrition, history. On the other hand, the inequality z ≤ 05 holds on an arc of the circle x 2 y 2 z 2 = 1, y = cx (for any given c) The length of the arc is 2/3 of the length of the circle However, the conditional probability is 3/4, not 2/3 This is a manifestation of the classical Borel paradox. If these limits are equal, we have continuity at x=1 Take the left and right hand limits of f(x) as x>1 If lim_(x>1^)f(x)=lim_(x>1^)f(x), then f(x) is continuous at x=1 lim_(x>1^)(x2x^3)^4=(12(1)^3)^4=(3)^4 lim_(x>1^)(x2x^3)^4=(12(1)^3)^4=(3)^4 Note that the direction from which we approached 1 did not change how.

An equation x^x^3 = 3 and its embedding in wider class of equations that all have the same solution ad first sight surprisingly. Example (34 x 10e6)(42 x 10e3) = (34)(42) x 10(63) = 1428 x 109 = 14 x 10e10 (to 2 significant figures) Example (673 x 10e5)(291 x 10e2) = (673)(291) x 10(52) = 1958 x 10e3 = 196 x 10e2 (to 3 significant figures) Division The digit terms are divided in the normal way and the exponents are subtracted. Thus, the xaxis is a horizontal asymptoteThe equation = means that the slope of the.

0 LB TEST High quality corrugated boxes in a large selection of sizes Use to pack, ship and store products Easy to set up, load and close Shipped flat for freight savings ULINE offers over 30,000 boxes, plastic poly bags, mailing tubes, warehouse supplies and bubble wrap for your storage, packaging, or shipping supplies. (x 3 5)(x 1)(x 2 – x 1) In these two examples, after I'd factored the quadraticform expression, I still had to do some more factoring This will not always be the case, but will often be the case on tests, when the instructor will be checking to see if you're on top of your game. A keyboard smartphone purposely designed for functionality, running Android, Lineage or Ubuntu Check out 'Pro1 X Smartphone Functionality, Choice & Control' on Indiegogo.

Have a question about using WolframAlpha?. Shop 1in x 6in x 12ft square unfinished cedar board in the appearance boards section of Lowescom. Compute answers using Wolfram's breakthrough technology & knowledgebase, relied on by millions of students & professionals For math, science, nutrition, history.

35 Industry Standard Minimum Width (Inches) 55 Industry Standard Minimum Length (Feet) severe weather dimensional lumber 4 in x 6 in appearance boards severe weather plywood 4 in x 6 in dimensional lumber 1 in x 2 in pressure treated lumber 2 in x 4 in pressure treated lumber 2 in x 2 in pressure treated lumber 2 in x 10 in pressure. A keyboard smartphone purposely designed for functionality, running Android, Lineage or Ubuntu Check out 'Pro1 X Smartphone Functionality, Choice & Control' on Indiegogo. Let #y=(x^(2x)(x1)^3)/(35x)^4#, how do you use logarithmic differentiation to find #dy/dx#?.

The former notation is commonly used for simpler exponents, while the latter is preferred when the exponent is a complicated expression The graph of = is upwardsloping, and increases faster as x increases The graph always lies above the xaxis, but becomes arbitrarily close to it for large negative x;. Review the upgrade information in the McAfee Enterprise Security Manager 113x Installation Guide Make sure that your current McAfee ESM version is 10 (or later) If you are upgrading from version 10x, make sure all needed ports are open on your network (see the ESM Installation Guide for a list of needed ports) Get the current hotfix file from the download site. Ex 94, 1 Not in Syllabus CBSE Exams 21 Ex 94, 2 Not in Syllabus CBSE Exams 21 Ex 94, 3 Not in Syllabus CBSE Exams 21 Ex 944 Important Not in Syllabus CBSE Exams 21 You are here.

X2x/31/2=x1/x2 One solution was found x ≓ Rearrange Rearrange the equation by subtracting what is to the right of the equal sign from both sides of the. Shop homewerks worldwide 3/4in x 3/4in dia x 21/2in l union union pvc fitting in the pvc fittings section of Lowescom. The X7 was launched at speed release from the underside of either a B29 or B50 carrier plane The jet would then take over and build up speed to its top speed of 1,600 km/h (1,000 mph), but was later redesigned to push Mach 43 (4,6753 km/h;.

Contact Pro Premium Expert Support ». Shop 1in x 6in x 12ft square unfinished cedar board in the appearance boards section of Lowescom. An equation x^x^3 = 3 and its embedding in wider class of equations that all have the same solution ad first sight surprisingly.

Compute answers using Wolfram's breakthrough technology & knowledgebase, relied on by millions of students & professionals For math, science, nutrition, history. Solve your math problems using our free math solver with stepbystep solutions Our math solver supports basic math, prealgebra, algebra, trigonometry, calculus and more. Generally, to differentiate a product function, the formula is as follows f(x) = g(x) * h(x) Where the derivative is f'(x) = g'(x)*h(x) h'(x)*g(x) In your example, this follows the general formula of product rule however, there is one extra term To make up for this, we have to alter the general formula slightly You now have to compensate for the third term.

Compute answers using Wolfram's breakthrough technology & knowledgebase, relied on by millions of students & professionals For math, science, nutrition, history. Calculus Differentiating Logarithmic Functions Differentiating. Compute answers using Wolfram's breakthrough technology & knowledgebase, relied on by millions of students & professionals For math, science, nutrition, history.

Beginning And Intermediate Algebra With Applications And Visualizatio

How To Solve For X If X 1 X 2 X 3 X 4 1 Quora

Introductory And Intermediate Algebra For College Students 5th Editio

Introductory And Intermediate Algebra For College Students 5th Editio

Solve X 1 X 2 X 3 X 4 1 Edurev Jee Question

Cbse 10 Math Cbse Arithmetic Progression Ncert Solutions

Cnhm6llsf7aqxm

Solve For X By Factoring X 3 3x 2 X 3 0 Youtube

How To Solve For X If X 1 X 2 X 3 X 4 1 Quora

Problem Statement Using The Implicit Finite Differ Chegg Com

Solve For X X 3 23x 2 142x 1 0

First Image Question Solve D Mm Rest Images Chegg Com

Find All The Zeroes Of Thr Polynomial Of X4 X3 34x2 4x 1 If Two Of Iys Zeroes Are2 2 Brainly In

Ml Aggarwal Solutions For Class 10 Chapter 5 Quadratic Equations In One Variable Free Pdf Available

Quadratic Word Problems Factored Form Video Khan Academy

Factoring 4th Degree Polynomials

If Math Xcos Theta Ycos Theta 1 Zcos Theta 240 Math Then How Will You Find The Value Of Xy Yz Xz Quora

Cbse 10 Math Cbse Arithmetic Progression Ncert Solutions

Table 1 From Synthesis Crystal Structure And Magnetic Properties Of A Polymeric Copper Ii Schiff Base Complex Having Binuclear Units Covalently Linked By Isonicotinate Ligands Semantic Scholar

Giải Toan Lớp 5 Luyện Tập Chung

Factor X 5 X 4 X 3 X 2 X 1 By Grouping Youtube

Giải Phương Trinh X 4 4x 3 19x 2 106x 1 0 Toan Học Lớp 8 Bai Tập Toan Học Lớp 8 Giải Bai Tập Toan Học Lớp 8 Lazi Vn Cộng đồng Tri Thức Giao Dục

Solved P X 1 0 1x Where 0 80 And X Represents The N Chegg Com

Find An Values Of X 4x 3 124x 1 0

Im 6 2 17 Question Help A Binomial Probability Experiment Is Conducted With The Given Parameters Compute The Homeworklib

Quadratic Equations That Factorise

What Are The Local Extrema If Any Of F X X 2 2x 3 4x 2 3x 4 E 2x Socratic

Vectors A And B Are Inclined At Angle 1 If A 1 And B 2 Then What Is A 3b 3a B Equal To Quora

Log 1 Base 5 X 3 2log 1 5 X 3 Base 5 Log 0 2 5 X 4 Base 5 Find The Value Of X Sarthaks Econnect Largest Online Education Community

What Is The Factorization Of X 1 X 2 X 3 X 4 1 Quora

The Solution Set Of The Equation X 1 X 2 X 3 X 4 1 Is Sarthaks Econnect Largest Online Education Community

Using Factor Theorem Factorize Each Of The Following Polynomials X 3 23x 2 142x 1

Corner Point Objective Function 4 X 1 4 X 2 5 0 5 225 136 30 0 1 Course Hero

Solving Equations By Factoring

X 1 X 2 X 3 X 4 1 Brainly In

Example 15 Factorise X3 23x2 142x 1 Class 9 Examples

The Solution Set Of The Equation X 1 X 2 X 3 X 4 1 Is Sarthaks Econnect Largest Online Education Community

What Is The Solution Of Math X 1 X 2 X 3 X 4 1 Math Quora

Solved Problem 2 Solve The Following A 10 X1 2x2 X 27 Chegg Com

Example 1 Solve The Following Linear Maximise Z 4x Y

X 4 X 3 X 2 X 1 1 Brainly In

Solved 3 For The Function F X 3x2 2x 4 Evaluate A Chegg Com

Cbse 10 Math Cbse Arithmetic Progression Ncert Solutions

233 The Equation 18x 16 1 0 4 X Y 18x 16y

What Is The Solution Of Math X 1 X 2 X 3 X 4 1 Math Quora

Quadratic Equation Solution Of Q X 1 X 2 X 3 X 4 1 0 Maths With Masti By D K Singh Youtube

Example 15 Factorise X3 23x2 142x 1 Class 9 Examples

X 1 X 2 X 3 X 4 15 Youtube

Algebra Assessment Solutions Algebra And

How Do You Use The Factor Theorem A Plus Topper

What Is The Solution Of Math X 1 X 2 X 3 X 4 1 Math Quora

Log 1 Base 5 X 3 2log 1 5 X 3 Base 5 Log 0 2 5 X 4 Base 5 Find The Value Of X Sarthaks Econnect Largest Online Education Community

Sec 3

What Is The Solution Of Math X 1 X 2 X 3 X 4 1 Math Quora

Systems Of Equations With Substitution Y 1 4x 100 Y 1 4x 1 Video Khan Academy

Systems Of Equations With Substitution Y 1 4x 100 Y 1 4x 1 Video Khan Academy

How To Solve For X If X 1 X 2 X 3 X 4 1 Quora

Cbse 10 Math Cbse Arithmetic Progression Ncert Solutions

Example 15 Factorise X3 23x2 142x 1 Class 9 Examples

What Is The Missing Number In 0 6 24 60 1 336 What Is An Explanation To This Sequence Quora

How Do You Use The Factor Theorem A Plus Topper

Systems Of Equations With Substitution Y 1 4x 100 Y 1 4x 1 Video Khan Academy

Regents Review 2 Equations What Type Of Equations Do We Need To Solve 1 Simple Equations 2 Equations With Fractions 3 Quadratic Equations 4 Literal Ppt Download

Find All Roots Of The Equation X 4 2x 3 16x 2 22x 7 0 If One Root Is 2 Sqrt3 Youtube

Giải Phương Trinh X 1 X 2 X 3 X 4 1 Cau Hỏi Hoidap247 Com

Factorise X3 23x2 142x 1 Mathematics Topperlearning Com A6rsi5myy

Cbse 10 Math Cbse Arithmetic Progression Ncert Solutions