フレーム内の300+写真

X4 160

Section 3 3 Polynomials And Synthetic Division Ppt Download

Solved Find The General Solution Of The Given System 16 Chegg Com

Math 131 Final Exam Review A B 1

Grade 9 Week 1 To Week 2 Youtube

Solved Here Is The Region Of Integration Of The Integral Chegg Com

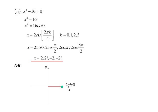
Find The Four Roots Of The Equation Z 4 16 0 And Use Them To Factorize Z 4 16 Into Quad Youtube

X 4 16 = 0 Step 2 Solving a Single Variable Equation 21 Solve x 4 16 = 0 Subtract 16 from both sides of the equation x 4 = 16 x = ∜16 The equation has no real solutions It has 4 imaginary, or complex solutions x= i.

X4 160. = np= 31 016 =496 cWhat is the variance and standard deviation of the number of days with rain in. Free factor calculator Factor quadratic equations stepbystep. If f(x) = sqrt(x^4 16x^2) A find the domain of f (using an algebraic process) B what type of symmetry, if any, does the graph of f have?.

The answer is (x 2)(x^2 4) = x^3 2x^2 4x 8 Factorise (x^4 16) as it is the difference of 2 squares You then get ((x^2 4)(x^2 4))/(x 2) x^2 4 is also the difference of 2 squares and will factorise to (x 2)(x 2) so this gives you ((x 2)(x 2)(x^2 4))/(x 2) The (x 2) terms cancel out to give you (x 2)(x^2 4). Big O notation is a mathematical notation that describes the limiting behavior of a function when the argument tends towards a particular value or infinity Big O is a member of a family of notations invented by Paul Bachmann, Edmund Landau, and others, collectively called Bachmann–Landau notation or asymptotic notation In computer science, big O notation is used to classify algorithms. Solve each differential equation a) dy/dx= x^2y^2−x^24y2−4 b) (x1)dy/dx xy=e^4x c) (7x3y)dx(6y3x)dy=0 Solve the following initial value problem 1) (3x^2 y2)dx (x2y)dy=0 y(2)=3.

Sirrus X is your ticket to riding more, and to places you never imagined possible It's a comfortable, capable, let's do stuff kind of bike that will inspire you to ride more than you ever have before With bigger, confidence inspiring tires, a slightly more upright riding position, a super intuitive oneby drivetrain, and plenty of mounts for racks and fenders —it's more than just a solid. You can watch many more videos on http//wwwmmtutorialcom/where I have organised the videos in different playlists. Get the answer to Factor x^416 with the Cymath math problem solver a free math equation solver and math solving app for calculus and algebra.

17 answers work out the equation of the line which has a gradient of 2 and passes the (1,7)?. X^416=0 x^4 = 16 x = 2 and 2 1 3 Still have questions?. Compute answers using Wolfram's breakthrough technology & knowledgebase, relied on by millions of students & professionals For math, science, nutrition, history.

I seem to get a different value than the other answers Here is my solutions mathx^4 16 = 0/math Factor this, do not move to opposite sides of = and work Since mathi^2 = 1/math We rewrite this as math(x^416i^2) = 0/math Now we can. Therefore, P(5) = n C 5p 5qn = 31 C 5(016) 5(084)26 ˇ0191 P(15) = n C 15p 15qn 15 = 31 C 15(016) 15(084)16 ˇ bWhat is the mean number of days with rain in October?. This equation factors as the difference of two squares The first factor factors again Now, set each factor equal to zero and solve or or or or or.

X^4 16 This is the difference of two squares, which factors to (x^2 4)(x^2 4) You can't factor x^2 4 anymore, but x^2 4 is another difference of squares, which can be factored to (x 2)(x 2), the final answer is. We now come to the first of three important theorems that extend the Fundamental Theorem of Calculus to higher dimensions (The Fundamental Theorem of Line Integrals has already done this in one way, but in that case we were still dealing with an essentially onedimensional integral). Solution for x^4=16 equation Simplifying x 4 = 16 Solving x 4 = 16 Solving for variable 'x' Move all terms containing x to the left, all other terms to the right Simplifying x 4 = 16 Reorder the terms 16 x 4 = 16 16 Combine like terms 16 16 = 0 16 x 4 = 0 Factor a difference between two squares (4 x 2)(4 x 2) = 0 Factor a difference between two squares.

In mathematics, trigonometric substitution is the substitution of trigonometric functions for other expressions In calculus, trigonometric substitution is a technique for evaluating integralsMoreover, one may use the trigonometric identities to simplify certain integrals containing radical expressions Like other methods of integration by substitution, when evaluating a definite integral, it. Definition X is a continuous random variable if there is a function f(x) so that for any constants a and b, with −∞ ≤ a ≤ b ≤ ∞, P(a ≤ X ≤ b) =Z b a f(x) dx (1) • For δ small, P(a ≤ X ≤ a δ) ≈ f(a) δ • The function f(x) is called the probability density function (pdf) • For any a, P(X = a) = P(a ≤ X ≤ a) =R a a f(x) dx = 0 • A discrete random. Polynomial Synthetic Division Calculator apply polynomial synthetic division stepbystep.

StudioLive Series III Ecosystem Learn how the PreSonus StudioLive Series III Mixers can help you build a system that is tailored to your needs today but readily expandable as your needs evolve over time;. Common 2in x 4in x 16ft;. Continuous Random Variables can be either Discrete or Continuous Discrete Data can only take certain values (such as 1,2,3,4,5) Continuous Data can take any value within a range (such as a person's height).

Free math problem solver answers your algebra, geometry, trigonometry, calculus, and statistics homework questions with stepbystep explanations, just like a math tutor. Learn how Accenture can help you prepare for a connected future. 12/31/ WSJTX version 240 has introduced a new digital protocol called Q65, which is designed for “minimal twoway QSOs over especially difficult propagation paths,” the Quick Start Guide says “On paths with Doppler spread more than a few hertz, the weaksignal performance of Q65 is the best among all WSJTX modes Q65 is particularly effective for tropospheric scatter.

2x416=0 Step by step solution Step 1 Rearrange this Absolute Value Equation Absolute value equalitiy entered 2x416 = 0 Another term is moved / added to the right hand side To make the absolute value term positive, both sides are multiplied by (1) 2x4 = 16 Step 2 Clear the Absolute Value Bars. Actually it can be factored since $1 = i^2 $ we have \(\displaystyle z^416=z^4i^2 16 = (z^24i)(z^24i)\) Now you can consider \(\displaystyle 2(1\pm i)^2= 2(1\pm2ii^2)=\pm 4i\). Compute answers using Wolfram's breakthrough technology & knowledgebase, relied on by millions of students & professionals For math, science, nutrition, history.

X 4 16 = 0 Cannot factor, but we can try to solve it by simplifying x 4 =. Sirrus X 40 Component Details Frame Aluminum with internal cable routing and rack/fender mounts Fork Carbon Future Shockcompatible steerer Handlebar Stout Mini Rise, alloy, 9degree backsweep. (verify using an algebraic process) C find f ' (x) in its simplest form D find the equation of the line normal to the graph of f at x = 5 (NOTE the normal line is a line that is perpendicular to a tangent line at the point of tangency) please explain.

Audio Interfaces Finder We've been making recording interfaces for a long time Whether you use Mac®, Windows®, or iOS®, we have an interface that fits your application and budget. Compute answers using Wolfram's breakthrough technology & knowledgebase, relied on by millions of students & professionals For math, science, nutrition, history. Solve your math problems using our free math solver with stepbystep solutions Our math solver supports basic math, prealgebra, algebra, trigonometry, calculus and more.

To ask Unlimited Maths doubts download Doubtnut from https//googl/9WZjCW Find the four roots of the equation `z^416=0` and use them to factorize `z^4. Notice the different uses of X and x X is the Random Variable "The sum of the scores on the two dice";. Question x^4= 16 using complex numbers solve for x couldn't find any examples like this in the book i get the same answer every time 2, 2 yet the back of the book has 2i and 2i also.

Solution for X^24x416=0 equation Simplifying X 2 4x 4 16 = 0 Reorder the terms 4 16 X 2 4x = 0 Combine like terms 4 16 = 12 12 X 2 4x = 0 Solving 12 X 2 4x = 0 Solving for variable 'X' Move all terms containing X to the left, all other terms to the right Add '12' to each side of the equation 12 X 2 12 4x = 0 12 Reorder the terms 12 12 X 2. Free equations calculator solve linear, quadratic, polynomial, radical, exponential and logarithmic equations with all the steps Type in any equation to get the solution, steps and graph. Question 357 x^416=0 Answer by rapaljer(4671) (Show Source) You can put this solution on YOUR website!.

Sirrus X 40 Component Details Frame Aluminum with internal cable routing and rack/fender mounts Fork Carbon Future Shockcompatible steerer Handlebar Stout Mini Rise, alloy, 9degree backsweep. 1 Solving Quadratic Equations by Factoring The general form of a quadratic equation is ax 2 bx c = 0 where x is the variable and a, b & c are constants Examples of Quadratic Equations (a) 5x 2 − 3x − 1 = 0 is a quadratic equation in quadratic form where `a = 5`, `b = 3`, `c = 1`. What is Industry 40 and what does it mean for digital transformation and enterprise growth?.

X is a value that X can take;. Compute answers using Wolfram's breakthrough technology & knowledgebase, relied on by millions of students & professionals For math, science, nutrition, history. 12/31/ WSJTX version 240 has introduced a new digital protocol called Q65, which is designed for “minimal twoway QSOs over especially difficult propagation paths,” the Quick Start Guide says “On paths with Doppler spread more than a few hertz, the weaksignal performance of Q65 is the best among all WSJTX modes Q65 is particularly effective for tropospheric scatter.

Solve by Factoring x^416=0 Rewrite as Rewrite as Since both terms are perfect squares, factor using the difference of squares formula, where and Simplify Tap for more steps Rewrite as Factor Tap for more steps Since both terms are perfect squares, factor using the difference of squares formula, where and. SOLUTION 13 Begin with x 2 xy y 2 = 1 Differentiate both sides of the equation, getting D ( x 2 xy y 2) = D ( 1 ) , 2x ( xy' (1)y) 2 y y' = 0 , so that (Now solve for y' ) xy' 2 y y' = 2x y, (Factor out y' ) y' x 2y = 2 x y, and the first derivative as a function of x and y is (Equation 1). Stack Exchange network consists of 176 Q&A communities including Stack Overflow, the largest, most trusted online community for developers to learn, share their knowledge, and build their careers Visit Stack Exchange.

Question 357 x^416=0 Answer by rapaljer(4671) (Show Source) You can put this solution on YOUR website!. Centimeters to Inches Using Chart You can use this chart to instantly convert values in centimeters (from 1 to 50 centimeters) to their equivalent inch values in either decimal or fraction forms. This equation factors as the difference of two squares The first factor factors again Now, set each factor equal to zero and solve or or or or or.

X^4 16 This is the difference of two squares, which factors to (x^2 4)(x^2 4) You can't factor x^2 4 anymore, but x^2 4 is another difference of squares, which can be factored to (x 2)(x 2), the final answer is. Shop 1/4in x 2in x 2ft square unfinished poplar board in the appearance boards section of Lowescom. Step by step solution Step 1 Trying to factor as a Difference of Squares 11 Factoring x 416 Theory A difference of two perfect squares, A 2 B 2 can be factored into (AB) • (AB) Proof (AB) • (AB) = A 2 AB BA B 2 = A 2 AB AB B 2 = A 2 B 2 Note AB = BA is the commutative property of multiplication Note AB AB equals zero and is therefore eliminated.

Actual 15in x 35in x 16ft Tight grain lumber with small knots that is resistant to cupping, twisting, and bowing.

Consider The Function M X X 4 16 0 Are These Zeros Of The Function Select Yes Or No For Brainly Com

Pdf The Optical Nir Afterglow Of Grb 1119a Complex Yet Not Unprecedented Semantic Scholar

Tutorial 5 1 Help Colgur Chemistry

The Number Of The Solutions Of The Equation 3sinx 4cosx X 2 16 0 Is Youtube

Solved 4 16 16 Y Here Is The Region Of Integration Of The Chegg Com

6 5 Solving Equations With Quadratic Techniques Ppt Download

Solved Here Is A Sequence Of Addresses During Execution O Chegg Com

What Is The Best Way To Factor X 4 16 Quora

Solved Section 7 3 Elliptic Pde Laplace Equation 1 Use Chegg Com

3 From The Exponential Distribu Let X1 Ng And Tion With Pdf Be A Randon Sample Of Homeworklib

Solve X4 x2 64 0

Solved 1 Point Consider The Subspaces U Span 4 3 0 Chegg Com

Solved Find The Solution To The System Of Equations With Chegg Com

Algebra And Trigonometry Enhanced With Graphing Utilities 6th Edition Sullivan Test Bank By Begrap Issuu

Slate Plumbing Fixtures And Products No Of Stalls 1end Of Type B 10 Width 2 10 Alternate 8 Width 2 8 One Stall Each Unit Additional Complete Unit Price Weight Pric Lt

What Are The Roots Of X 4 16 0 Quora

Solved Find All Complex Solutions To The Given Eq

Chapter 4 Answers Practice 4 1 1

X2 T01 09 De Moivres Theorem

Salmonella Populations Log Cfu Ml Mean 6 S D On Chicken Breast Download Scientific Diagram

Multiplication 5 Multiplicand X 3 Multiplier 15 Product Let S Learn Ppt Download

What Is Solution Of 4x 2 16 0 Quora

Math 9 Module 2 Extracting Square Roots Youtube

Plos One Vulnerability Of Deep Neural Networks For Detecting Covid 19 Cases From Chest X Ray Images To Universal Adversarial Attacks

If Tex 3 2 2x 1 5 2 X 2 16 0 Tex And X Is An Integer Find The Value Of X Brainly In

Solve Quadratic Equations Using The Quadratic Formula Ppt Download

Efficacy Of Peroxy Acetic Acid In Reducing Salmonella And Campylobacter Spp Populations On Chicken Breast Fillets Semantic Scholar

Polynomials The Relationship Between Roots And Coefficients Ppt Download

Solved 17 36 Rational Inequalities Solve The Ine

Solved Homework Section 1 5 Homework Save Score 0 Of 1 Chegg Com

How Do You Write The Polynomial P X 6x 3 13x 2 4 As A Product Of Linear Factors Socratic

Factorize X 4 16 Into Linear Polynomials Youtube

Neutron And X Ray Scattering Densities For Substances Of Biological Download Table

Solved 17 36 Rational Inequalities Solve The Ine

What Are The Roots Of X 4 16 0 Quora

Solved Question 3 Let U 0 2 4 6 8 10 12 14 16 Chegg Com

Ppt 6 5 Solving Equations With Quadratic Techniques Powerpoint Presentation Id

How To Solve X In X 1 4 X 1 4 16 Mathematics Stack Exchange

What Are The Roots Of X 4 16 0 Quora

11 Find A Closed Form For The Generating Function For Each Of The Following Sequences A Homeworklib

Solved Solve The Given Equation Or Inequality And Give E Chegg Com

Answered Solve Enter Your Answers As A Bartleby

Solve X 2 16 0 Youtube

Solving Quadratic Equations By Finding Square Roots Worksheet Promotiontablecovers

Solved 1 Point Let X B F X 4 16 0 X B If X Chegg Com

Quiz Worksheet How To Solve Quartic Equations Study Com

Factoring Quadratics Using X Box Method Ppt Download

Answered Describe The X Values At Which The Bartleby

Solution Solve For The Value Of A In The Equation A 8 17a 4

Solved 17 36 Rational Inequalities Solve The Ine

Solved 1 1 A Solve The Following Minimization Problem B Chegg Com

Solution Solve And Graph X 4y 16

Solved Question 3 5 Points List The Intercepts For The Chegg Com

Drawing Z 4 16 0 Mathematics Stack Exchange

Association Between Acl Injury Complete Vs Partial And Associated Download Scientific Diagram

How Do You Find The Vertex Directrix And Focus Of X 2 4x 4y 16 0 Socratic

I Limits Continuity 5 Pdf Limits And Continuity Day 5 Edward Roy Concepcion De La Salle University Edward Roy Concepcion Limits And Continuity Day 5 Course Hero

Find The Complex Solution To X 2 16 0 By Solving For X Youtube

If X 1 4 16 0 Then The Sum Of Nonreal Complex Value Of Complex Is A Math Complex Numbers And Quadratic Equations Meritnation Com

Solved 2 11 Points Zilldiffeqmodap11 8 2 044 Find The G Chegg Com

X2 T01 09 De Moivres Theorem

Complex Zeros 4

C1 Circles Answers Elementary Geometry Geometry

House Plan 034 Country Plan 1 857 Square Feet 4 Bedrooms 3 5 Bathrooms In Small House Floor Plans Small House Plans House Plans

Algebra Puzzles For Android Apk Download

Solved Lim X Rightarrow 0 Squareroot X 16 Cos 1 3 X 4 Chegg Com

Solve X 2 16 0 Youtube

Solved 1 10 Points Solve The Equation X2 4x 16 0 Chegg Com

6 5 Solving Equations With Quadratic Techniques Ppt Download

How Do You Find The Vertex Directrix And Focus Of X 2 4x 4y 16 0 Socratic

What Is The Best Way To Factor X 4 16 Quora

What Is The Correct Equation In Vertex Form For X 2 4x 12 0 Brainly Com

How To Solve X In X 1 4 X 1 4 16 Mathematics Stack Exchange

Suppose X Is A Normal Random Variable With With Expected Value 16 And Standard Deviation 1 05 Homeworklib

Solve X 2 6x 16 0 Youtube

Solved Describe All Solutions Of Ax 0 In Parametric Vec Chegg Com

How To Solve X In X 1 4 X 1 4 16 Mathematics Stack Exchange

Solved Chapter 1 Supplementary Exercises Question 02 Th Chegg Com

Solved Find All Z Satisfying The Given Equation Z 2 1 Chegg Com

Solving Z 4 4 0 And Representing All Solutions In Argand Plane Youtube

If X 1 4 16 0 Then Sum Of Non Real Complex Values Of X Is Sarthaks Econnect Largest Online Education Community